U.S. flag An official website of the United States government.
Official websites use .gov

A .gov website belongs to an official government organization in the United States.

Secure .gov websites use HTTPS

A lock ( ) or https:// means you've safely connected to the .gov website. Share sensitive information only on official, secure websites.

i

Experimental studies of particle removal and probability of COVID-19 infection in passenger railcars

Supporting Files
File Language:
English


Details

  • Alternative Title:
    J Occup Environ Hyg
  • Personal Author:
  • Description:
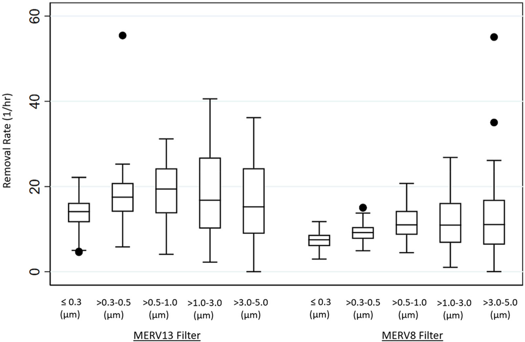
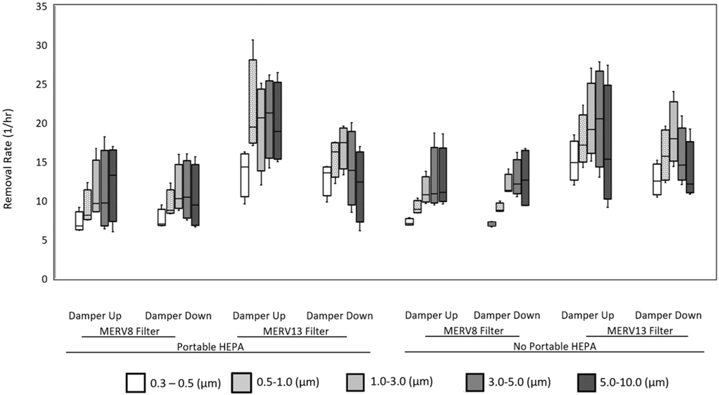
    A series of experiments in stationary and moving passenger railcars was conducted to measure the removal rates of particles in the size ranges of SARS-CoV-2 viral aerosols, and the air changes per hour provided by the existing and modified air handling systems. The effect of ventilation and air filtration systems on removal rates and their effects on estimated probability (i.e., risk) of infection was evaluated in a range of representative conditions: (1) for two different ratios of recirculated air (RA) to outdoor air (OA) (90:10 RA:OA and 67:33 RA:OA); (2) using minimum efficiency reporting value (MERV) filters with standard (MERV-8) and increased (MERV-13) filtration ratings; and (3) in the presence and absence of a portable high-efficiency particulate-air (HEPA) room air purifier system operated at clean air delivery rate (CADR) of 150 and 550 cfm. The higher-efficiency MERV-13 filters significantly increased particle removal rates on average by 3.8 to 8.4 hr| across particle sizes ranging from 0.3 to 10 µm (| < 0.01) compared to MERV-8 filters. The different RA:OA ratios and the use of a portable HEPA air purifier system had little effect on particle removal rates. MERV-13 filters reduced the estimated probability of infection by 42% compared to the MERV-8 filter. The use of a HEPA-air purifier with a MERV-13 filter causes a 50% reduction in the estimated probability of infection. Upgrading the efficiency of HVAC filters from MERV-8 to MERV-13 in public transit vehicles is the most effective exposure control method resulting in a clear reduction in the removal rates of aerosol particles and the estimated probability of infection.
  • Subjects:
  • Source:
    J Occup Environ Hyg. 20(1):1-13
  • Pubmed ID:
    36256520
  • Pubmed Central ID:
    PMC10074430
  • Document Type:
  • Funding:
  • Volume:
    20
  • Issue:
    1
  • Collection(s):
  • Main Document Checksum:
    urn:sha256:271156407a369ffe1cd3baff0bf0a8cce3f9cdcbde0e04ad1cf070eb7371a2b6
  • Download URL:
  • File Type:
    Filetype[PDF - 1.80 MB ]
File Language:
English
ON THIS PAGE

CDC STACKS serves as an archival repository of CDC-published products including scientific findings, journal articles, guidelines, recommendations, or other public health information authored or co-authored by CDC or funded partners.

As a repository, CDC STACKS retains documents in their original published format to ensure public access to scientific information.