Associations between prenatal and early-life air pollution exposure and lung function in young children: exploring influential windows of exposure on lung development
Supporting Files
-
04/01/2023
-
File Language:
English
Details
-
Alternative Title:Environ Res
-
Personal Author:
-
Description:Background:
Evidence in the literature suggests that air pollution exposures experienced prenatally and early in life can be detrimental to normal lung development, however the specific timing of critical windows during development is not fully understood.
Objectives:
We evaluated air pollution exposures during the prenatal and early-life period in association with lung function at ages 6–9, in an effort to identify potentially influential windows of exposure for lung development.
Methods:
Our study population consisted of 222 children aged 6–9 from the Fresno-Clovis metro area in California with spirometry data collected between May 2015 and May 2017. We used distributed-lag non-linear models to flexibly model the exposure-lag-response for monthly average exposure to fine particulate matter (PM2.5) and ozone (O3) during the prenatal months and first three years of life in association with forced vital capacity (FVC), and forced expiratory volume in the first second (FEV1), adjusted for covariates.
Results:
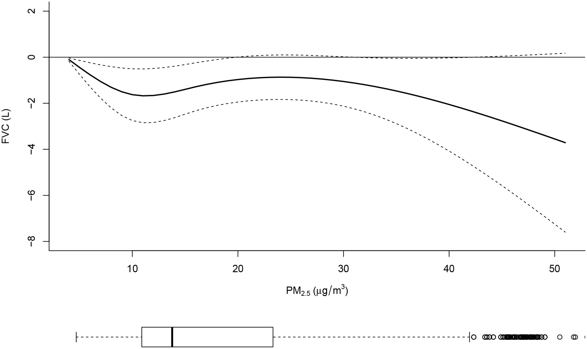
PM2.5 exposure during the prenatal period and the first 3-years of life was associated with lower FVC and FEV1 assessed at ages 6–9. Specifically, an increase from the 5th percentile of the observed monthly average exposure (7.55 μg/m3) to the median observed exposure (12.69 μg/m3) for the duration of the window was associated with 0.42 L lower FVC (95% confidence interval (CI): −0.82, −0.03) and 0.38 L lower FEV1 (95% CI: −0.75, −0.02). The shape of the lag-response indicated that the second half of pregnancy may be a particularly influential window of exposure. Associations for ozone were not as strong and typically CIs included the null.
Conclusions:
Our findings indicate that prenatal and early-life exposures to PM2.5 are associated with decreased lung function later in childhood. Exposures during the latter months of pregnancy may be especially influential.
-
Subjects:
-
Source:Environ Res. 222:115415
-
Pubmed ID:36738772
-
Pubmed Central ID:PMC9974878
-
Document Type:
-
Funding:
-
Volume:222
-
Collection(s):
-
Main Document Checksum:urn:sha256:50fa5425a03f41ea75e137be375be351e2db625e5c1875839f684de8e90d1774
-
Download URL:
-
File Type:
Supporting Files
File Language:
English
ON THIS PAGE
CDC STACKS serves as an archival repository of CDC-published products including
scientific findings,
journal articles, guidelines, recommendations, or other public health information authored or
co-authored by CDC or funded partners.
As a repository, CDC STACKS retains documents in their original published format to ensure public access to scientific information.
As a repository, CDC STACKS retains documents in their original published format to ensure public access to scientific information.
You May Also Like
COLLECTION
CDC Public Access