U.S. flag An official website of the United States government.
Official websites use .gov

A .gov website belongs to an official government organization in the United States.

Secure .gov websites use HTTPS

A lock ( ) or https:// means you've safely connected to the .gov website. Share sensitive information only on official, secure websites.

i

Co-substance use of nicotine vaping and non-cigarette tobacco products among U.S. grade 12 students from 2017–2019

Supporting Files
File Language:
English


Details

  • Alternative Title:
    Drug Alcohol Depend Rep
  • Personal Author:
  • Description:
    Background:

    Nicotine vaping among U.S. adolescents has risen rapidly over the past decade, particularly for youth in grade 12. While previous studies examined the relationship between nicotine vaping and combustible cigarette use, less is known about the co-occurrence between vaping and other tobacco products.

    Methods:

    Using Monitoring the Future grade 12 data (2017–2019), we investigated associations between past 30-day nicotine vaping and non-vaping, non-cigarette tobacco use (smokeless tobacco, large cigars, cigarillos, hookah). Population prevalences of four categories were assessed: neither, vaping only, non-vaping of non-cigarette tobacco only, or both. We further investigated these relationships with logistic regressions accounting for the complex survey design (unadjusted, demographic-adjusted, and further adjusted for other substance use). Finally, analyses were stratified by combustible cigarette use.

    Results:

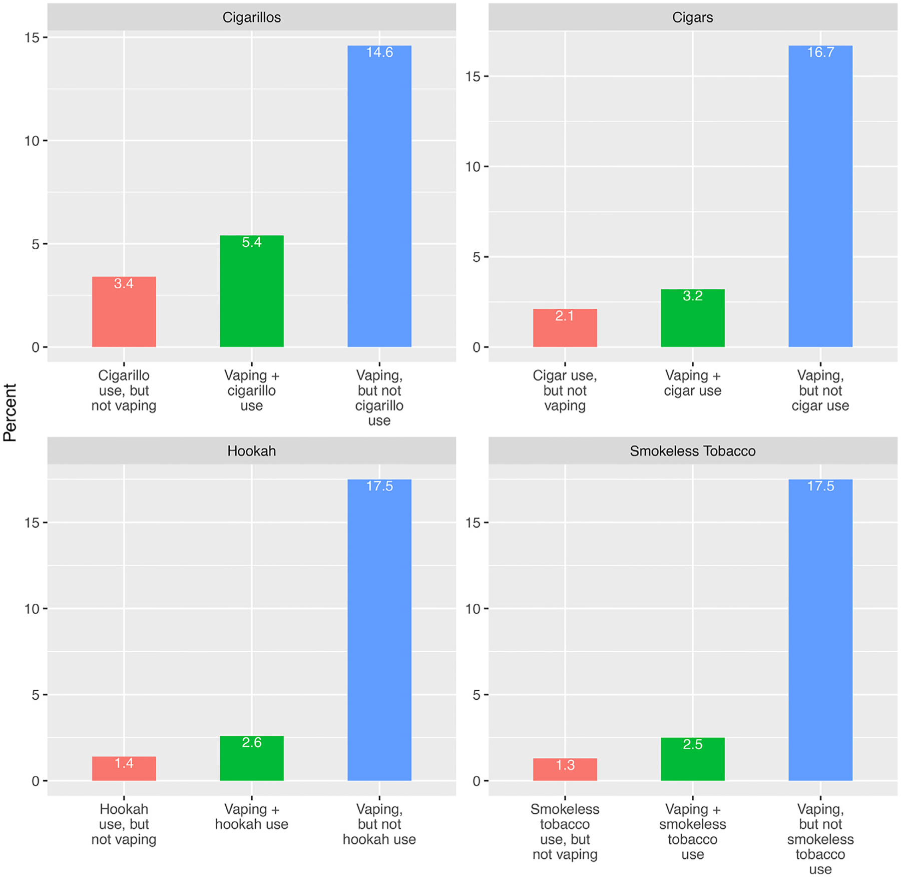
    Depending on the non-cigarette tobacco product, 2.5% to 5.4% of grade 12 students vaped nicotine and used a non-cigarette tobacco product. Controlling for demographics, cigarillo use was associated with nicotine vaping (adjusted RR = 3.44, 95% CI: 3.08, 3.84), as was hookah use (aRR = 3.51, 95% CI: 2.92, 4.23), smokeless tobacco (aRR = 2.97, 95% CI: 2.51, 3.52), and cigar use (aRR = 2.90, 95% CI: 2.49, 3.37). Controlling for cannabis and all non-cigarette tobacco products simultaneously attenuated associations. Associations were stronger among students who did not use cigarettes.

    Discussion:

    Nicotine vaping is associated with use of many non-cigarette tobacco products, including smokeless tobacco, cigarillos, cigars, and hookah. As prevalence of nicotine vaping remains high among adolescents, we should monitor co-use of vaping and other tobacco products.

  • Keywords:
  • Source:
    Drug Alcohol Depend Rep. 5
  • Pubmed ID:
    36644225
  • Pubmed Central ID:
    PMC9838102
  • Document Type:
  • Funding:
  • Volume:
    5
  • Collection(s):
  • Main Document Checksum:
    urn:sha-512:59fc1f1963999c300beb3d5475e8c5aa59045675ee4a05c8f514efd56871de56048d145c7aa2457df883557441ef63ac836900423e8dd59b0bf97b8ab4a5b9c4
  • Download URL:
  • File Type:
    Filetype[PDF - 519.60 KB ]
File Language:
English
ON THIS PAGE

CDC STACKS serves as an archival repository of CDC-published products including scientific findings, journal articles, guidelines, recommendations, or other public health information authored or co-authored by CDC or funded partners.

As a repository, CDC STACKS retains documents in their original published format to ensure public access to scientific information.