Perception of Local COVID-19 Transmission and Use of Preventive Behaviors Among Adults with Recent SARS-CoV-2 Infection — Illinois and Michigan, June 1–July 31, 2022
Supporting Files
Public Domain
-
11 18 2022
-
File Language:
English
Details
-
Journal Article:Morbidity and Mortality Weekly Report (MMWR)
-
Personal Author:
-
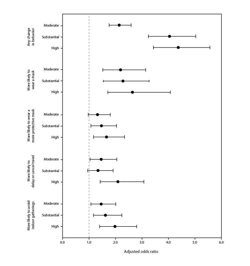
Description:During the early stages of the COVID-19 pandemic, use of preventive behaviors was associated with perceived risk for contracting SARS-CoV-2 infection (1,2). Over time, perceived risk has declined along with waning COVID-19-related media coverage (3,4). The extent to which communities continue to be aware of local COVID-19 transmission levels and are implementing recommended preventive behaviors is unknown. During June 1-July 31, 2022, health departments in DuPage County, Illinois and metropolitan Detroit, Michigan surveyed a combined total of 4,934 adults who had received a positive test result for SARS-CoV-2 during the preceding 3 weeks. The association between awareness of local COVID-19 transmission and use of preventive behaviors and practices was assessed, both in response to perceived local COVID-19 transmission levels and specifically during the 2 weeks preceding SARS-CoV-2 testing. Both areas had experienced sustained high COVID-19 transmission during the study interval as categorized by CDC COVID-19 transmission levels.* Overall, 702 (14%) respondents perceived local COVID-19 transmission levels as high, 987 (20%) as substantial, 1,902 (39%) as moderate, and 581 (12%) as low; 789 (16%) reported they did not know. Adjusting for geographic area, age, gender identity, and combined race and ethnicity, respondents who perceived local COVID-19 transmission levels as high were more likely to report having made behavioral changes because of the level of COVID-19 transmission in their area, including wearing a mask in public, limiting travel, and avoiding crowded places or events. Continued monitoring of public perceptions of local COVID-19 levels and developing a better understanding of their influence on the use of preventive behaviors can guide COVID-19 communication strategies and policy making during and beyond the pandemic.
-
Subjects:
-
Source:MMWR Morbidity Mortal Weekly Rep. 71(46):1471-1478
-
Series:
-
DOI:
-
ISSN:0149-2195 (print) ; 1545-861X (digital)
-
Pubmed ID:36395064
-
Pubmed Central ID:PMC9707356
-
Document Type:
-
Place as Subject:
-
Pages in Document:8 pdf pages
-
Volume:71
-
Issue:46
-
Collection(s):
-
Main Document Checksum:urn:sha-512:f535fa9c1943613bed7dbfe84efffffd1f71c84932f8c2bac87ac5d26c1de3a426c9e7818b444701861662a17a440ca36df6bd4190b7d3cfeef770c72ebf28d4
-
Download URL:
-
File Type:
Supporting Files
File Language:
English
ON THIS PAGE
CDC STACKS serves as an archival repository of CDC-published products including
scientific findings,
journal articles, guidelines, recommendations, or other public health information authored or
co-authored by CDC or funded partners.
As a repository, CDC STACKS retains documents in their original published format to ensure public access to scientific information.
As a repository, CDC STACKS retains documents in their original published format to ensure public access to scientific information.
You May Also Like
COLLECTION
Morbidity and Mortality Weekly Report (MMWR)