U.S. flag An official website of the United States government.
Official websites use .gov

A .gov website belongs to an official government organization in the United States.

Secure .gov websites use HTTPS

A lock ( ) or https:// means you've safely connected to the .gov website. Share sensitive information only on official, secure websites.

i

Hospital Readmissions Among Veterans Within 90 Days of Discharge Following Initial Hospitalization for COVID-19

Supporting Files Public Domain
File Language:
English


Details

  • Journal Article:
    Preventing Chronic Disease (PCD)
  • Personal Author:
  • Description:
    Introduction

    Some patients experience ongoing sequelae after discharge, including rehospitalization; therefore, outcomes following COVID-19 hospitalization are of continued interest. We examined readmissions within 90 days of hospital discharge for veterans hospitalized with COVID-19 during the first 10 months of the pandemic in the US.

    Methods

    Veterans hospitalized with COVID-19 at a Veterans Health Administration (VA) hospital from March 1, 2020, through December 31, 2020 were followed for 90 days after discharge to determine readmission rates.

    Results

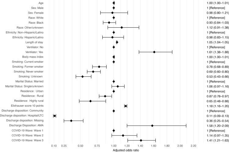
    Of 20,414 veterans hospitalized with COVID-19 during this time period, 13% (n = 2,643) died in the hospital. Among survivors (n = 17,771), 16% (n = 2,764) were readmitted within 90 days of discharge, with a mean time to readmission of 21.6 days (SD = 21.1). Characteristics of the initial COVID-19 hospitalization associated with readmission included length of stay, mechanical ventilator use, higher comorbidity index score, current smoking, urban residence, discharged against medical advice, and hospitalized from September through December 2020 versus March through August 2020 (all P values <.02). Veterans readmitted from September through December 2020 were more often White, lived in a rural or highly rural area, and had shorter initial hospitalizations than veterans hospitalized earlier in the year.

    Conclusion

    Approximately 1 of 6 veterans discharged alive following a COVID-19 hospitalization from March 1 through December 31, 2020, were readmitted within 90 days. The longer the hospital stay, the greater the likelihood of readmission. Readmissions also were more likely when the initial admission required mechanical ventilation, or when the veteran had multiple comorbidities, smoked, or lived in an urban area. COVID-19 hospitalizations were shorter from September through December 2020, suggesting that hospital over-capacity may have resulted in earlier discharges and increased readmissions. Efforts to monitor and provide support for patients discharged in high bed–capacity situations may help avoid readmissions.

  • Subjects:
  • Source:
    Prev Chronic Dis. 2022; 19
  • DOI:
  • ISSN:
    1545-1151
  • Pubmed ID:
    36455563
  • Pubmed Central ID:
    PMC9717697
  • Document Type:
  • Volume:
    19
  • Collection(s):
  • Main Document Checksum:
    urn:sha-512:5efc5d33775ad80fd2d326eb7bc3694fc746273aff4c842e1d73c2cdad5ed165b547ef52433e74d95c4e6c97a3fbb9e59918f80ee8d1e8f2d5699ad2e89f4191
  • Download URL:
  • File Type:
    Filetype[PDF - 539.30 KB ]
File Language:
English
ON THIS PAGE

CDC STACKS serves as an archival repository of CDC-published products including scientific findings, journal articles, guidelines, recommendations, or other public health information authored or co-authored by CDC or funded partners.

As a repository, CDC STACKS retains documents in their original published format to ensure public access to scientific information.