U.S. flag An official website of the United States government.
Official websites use .gov

A .gov website belongs to an official government organization in the United States.

Secure .gov websites use HTTPS

A lock ( ) or https:// means you've safely connected to the .gov website. Share sensitive information only on official, secure websites.

i

DEVELOPMENT OF NEURAL RESPONSE TO NOVEL SOUNDS IN FRAGILE X SYNDROME: POTENTIAL BIOMARKERS

Supporting Files
File Language:
English


Details

  • Alternative Title:
    Am J Intellect Dev Disabil
  • Personal Author:
  • Description:
    METHOD:

    Participants with FXS (N=41) and controls (N=27) underwent auditory ERP with a 32 lead EEG cap during presentation of an oddball paradigm. Analyses included log age as a covariate.

    RESULTS:

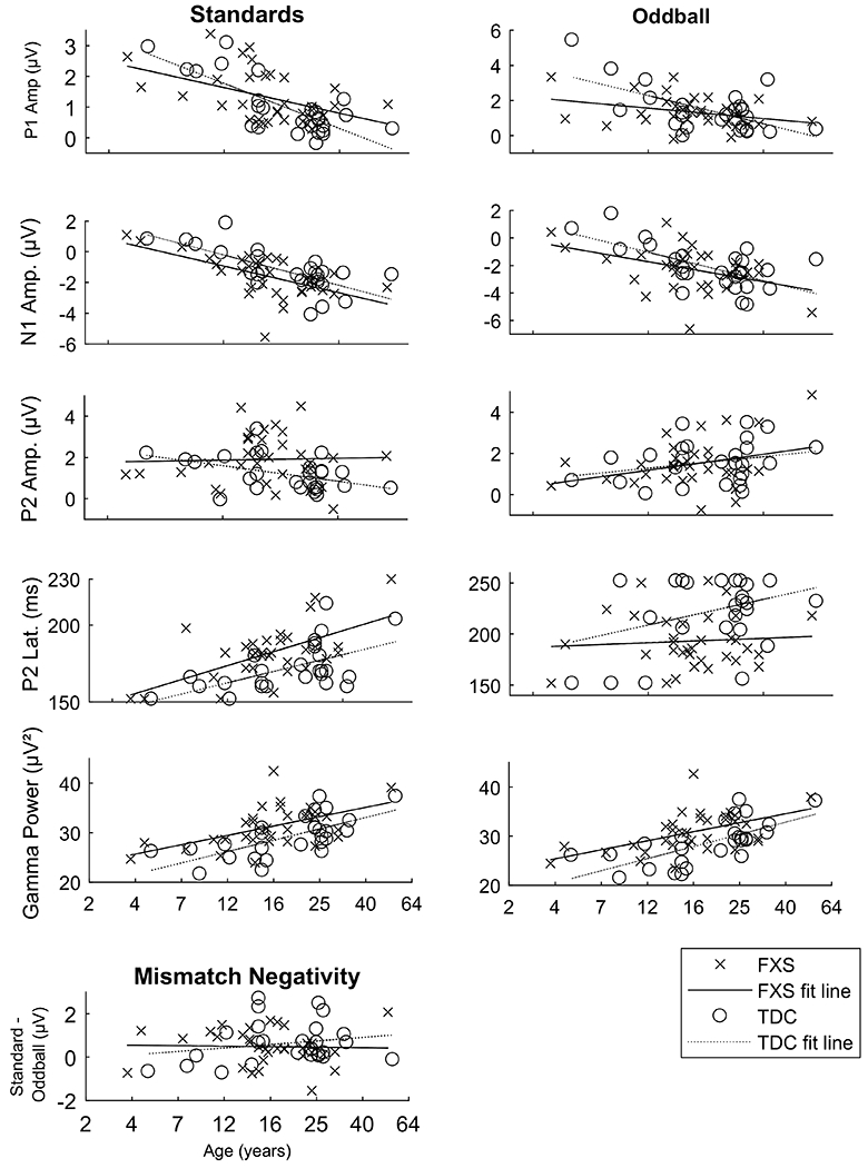
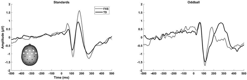
    Data was adequate for analysis for 33 participants with FXS and 27 controls (age 4-51y, 13 females (FXS); 4-54y,11 females (control)). Participants with FXS showed larger N1 and P2 amplitudes (p’s<0.05), abnormal modulation of ERP amplitudes in response to oddball stimuli including lack of normal increases in P1 (p=0.037) and P2 (p=0.008) amplitudes and normal slowing of P2 latency (p<0.001) relative to controls: Females with FXS were more similar to controls. Participants with FXS showed a marginal speeding of the P2 latency during the task, suggesting potentiation to oddball stimuli rather than habituation, F(1,55)=3.7, p=0.05. Participants with FXS showed a heightened N1 habituation effect to standards compared to controls, F(1,55)=4.5, p=0.03. Gamma power was significantly higher for participants with FXS F(1,55)=10.1, p=0.002. Participants with FXS and controls did not differ on mismatch negativity. Both controls and participants with FXS showed significant decreases in P1 amplitude, and increases in N1 amplitude, P2 latency, and gamma power with age. However, controls but not participants with FXS show a decrease in P2 amplitude with age. Retest analyses performed in 14 participants with one month retest suggest strong test-retest reliability (ICC range 0.65 to 0.96, p’s <0.05) for most measures, and borderline reliability for mismatch negativity (ICC =0.57, p=0.06), and P2 amplitude and latency to oddball (p’s>0.05).

    CONCLUSION:

    Individuals with FXS show previously demonstrated increased in response amplitude and high frequency neural activity. Additionally, despite an overall normal developmental trajectory for most measures, individuals with FXS show age-independent but gender-dependent decreases in complex processing of novel stimuli. Many markers show strong retest reliability even in children and thus are potential biomarkers for clinical trials in FXS.

  • Subjects:
  • Source:
    Am J Intellect Dev Disabil. 125(6):449-464 ; Am J Intellect Dev Disabil. 125(6):449-464
  • Pubmed ID:
    33211818
  • Pubmed Central ID:
    PMC8631234
  • Document Type:
  • Funding:
  • Volume:
    125
  • Issue:
    6
  • Collection(s):
  • Main Document Checksum:
    urn:sha256:44445d14b7601175ad81695d6aa2521abf8a54370fc7a78300d400d8f76216ea
  • Download URL:
  • File Type:
    Filetype[PDF - 520.55 KB ]
File Language:
English
ON THIS PAGE

CDC STACKS serves as an archival repository of CDC-published products including scientific findings, journal articles, guidelines, recommendations, or other public health information authored or co-authored by CDC or funded partners.

As a repository, CDC STACKS retains documents in their original published format to ensure public access to scientific information.