An extended and unified modeling framework for benchmark dose estimation for both continuous and binary data
Supporting Files
-
11 2020
File Language:
English
Details
-
Alternative Title:Environmetrics
-
Personal Author:
-
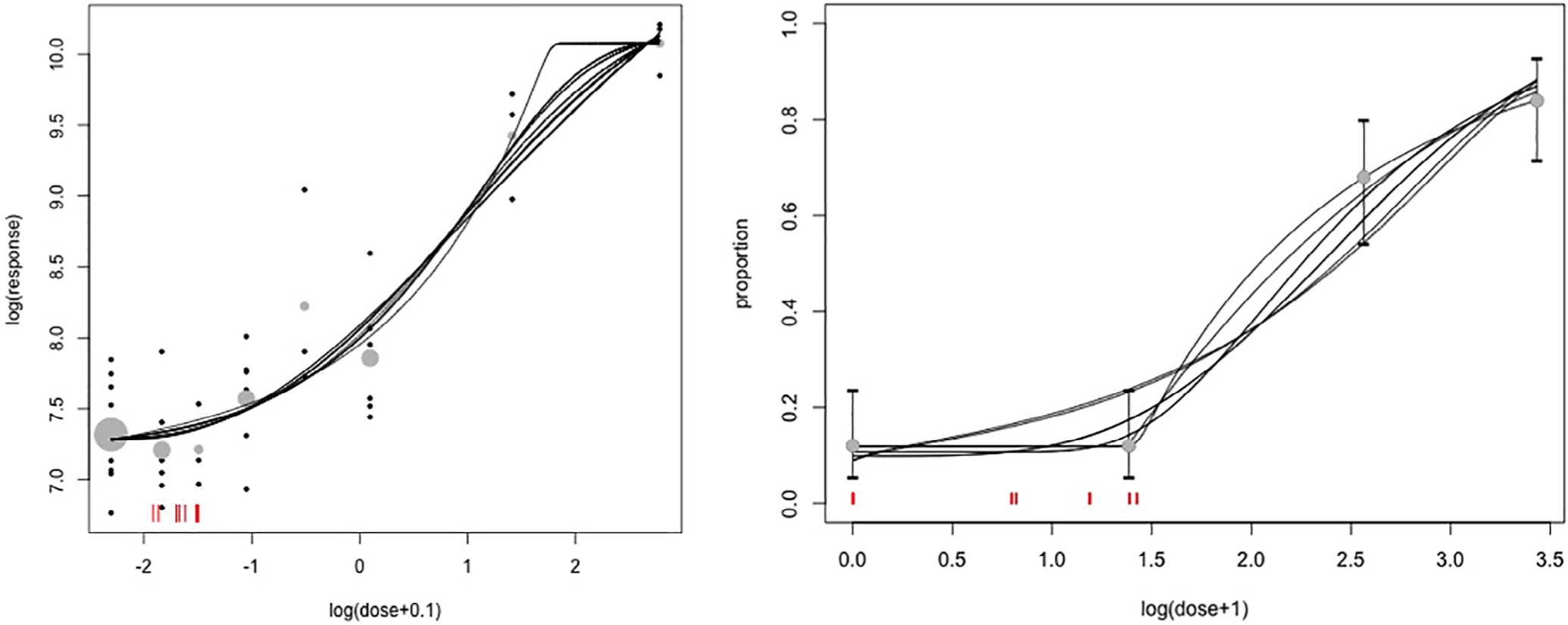
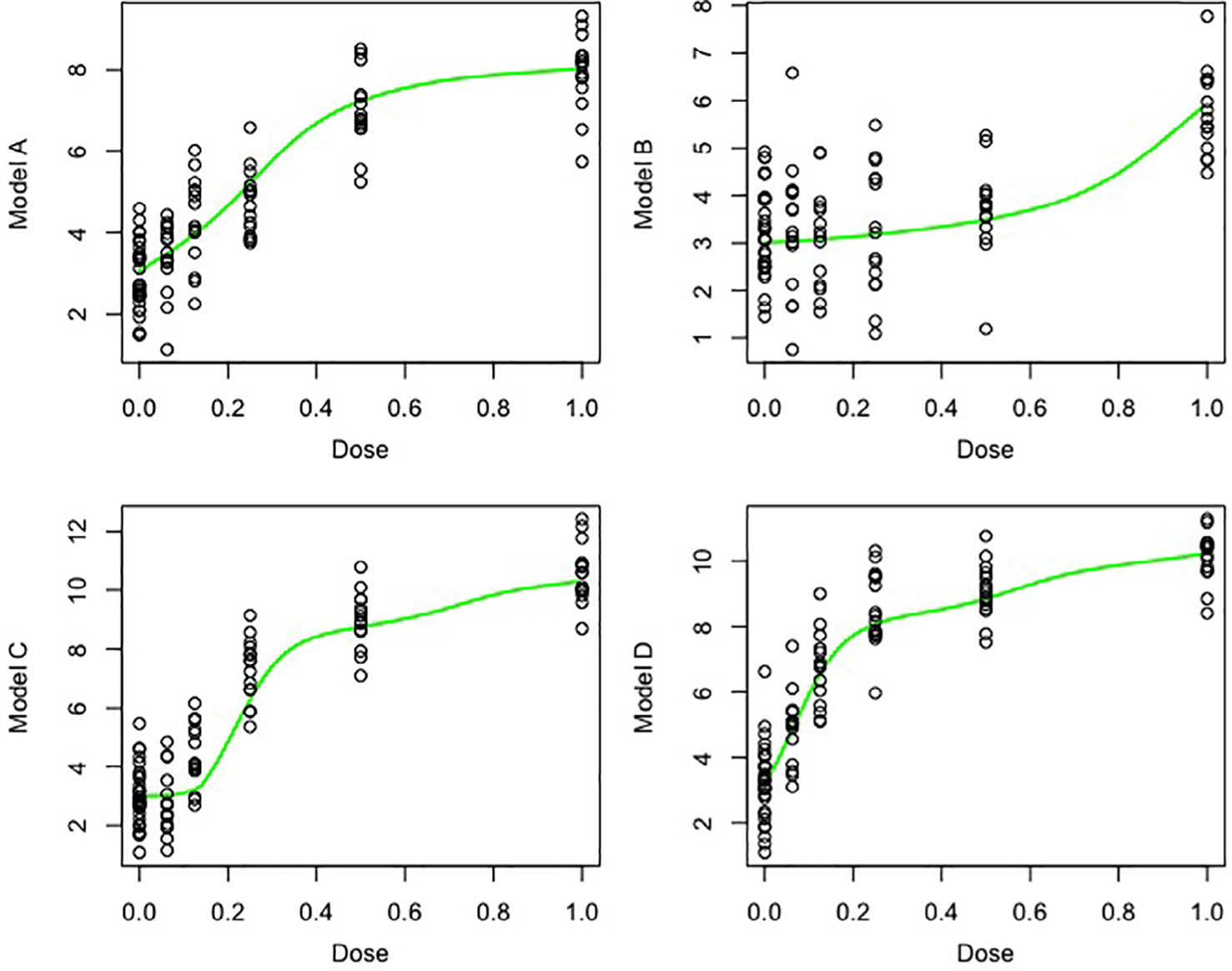
Description:Protection and safety authorities recommend the use of model averaging to determine the benchmark dose approach as a scientifically more advanced method compared with the no-observed-adverse-effect-level approach for obtaining a reference point and deriving health-based guidance values. Model averaging however highly depends on the set of candidate dose-response models and such a set should be rich enough to ensure that a well-fitting model is included. The currently applied set of candidate models for continuous endpoints is typically limited to two models, the exponential and Hill model, and differs completely from the richer set of candidate models currently used for binary endpoints. The objective of this article is to propose a general and wide framework of dose response models, which can be applied both to continuous and binary endpoints and covers the current models for both type of endpoints. In combination with the bootstrap, this framework offers a unified approach to benchmark dose estimation. The methodology is illustrated using two data sets, one with a continuous and another with a binary endpoint.
-
Keywords:
-
Source:Environmetrics. 31(7)
-
Pubmed ID:36052215
-
Pubmed Central ID:PMC9432821
-
Document Type:
-
Funding:
-
Volume:31
-
Issue:7
-
Collection(s):
-
Main Document Checksum:urn:sha-512:f2dd13481f5b34e37dfecfe8be1bd79eee1139de0e57ab3acc6fe18d391746a83a33dd2ed8f6c954325bc0abf7097022858e6f1c9865c0dbcc672cfe43159bf3
-
Download URL:
-
File Type:
Supporting Files
File Language:
English
ON THIS PAGE
CDC STACKS serves as an archival repository of CDC-published products including
scientific findings,
journal articles, guidelines, recommendations, or other public health information authored or
co-authored by CDC or funded partners.
As a repository, CDC STACKS retains documents in their original published format to ensure public access to scientific information.
As a repository, CDC STACKS retains documents in their original published format to ensure public access to scientific information.
You May Also Like
COLLECTION
CDC Public Access