U.S. flag An official website of the United States government.
Official websites use .gov

A .gov website belongs to an official government organization in the United States.

Secure .gov websites use HTTPS

A lock ( ) or https:// means you've safely connected to the .gov website. Share sensitive information only on official, secure websites.

i

Safety Monitoring of COVID-19 mRNA Vaccine Second Booster Doses Among Adults Aged ≥50 Years — United States, March 29, 2022–July 10, 2022

Supporting Files Public Domain
File Language:
English


Details

  • Journal Article:
    Morbidity and Mortality Weekly Report (MMWR)
  • Personal Author:
  • Description:
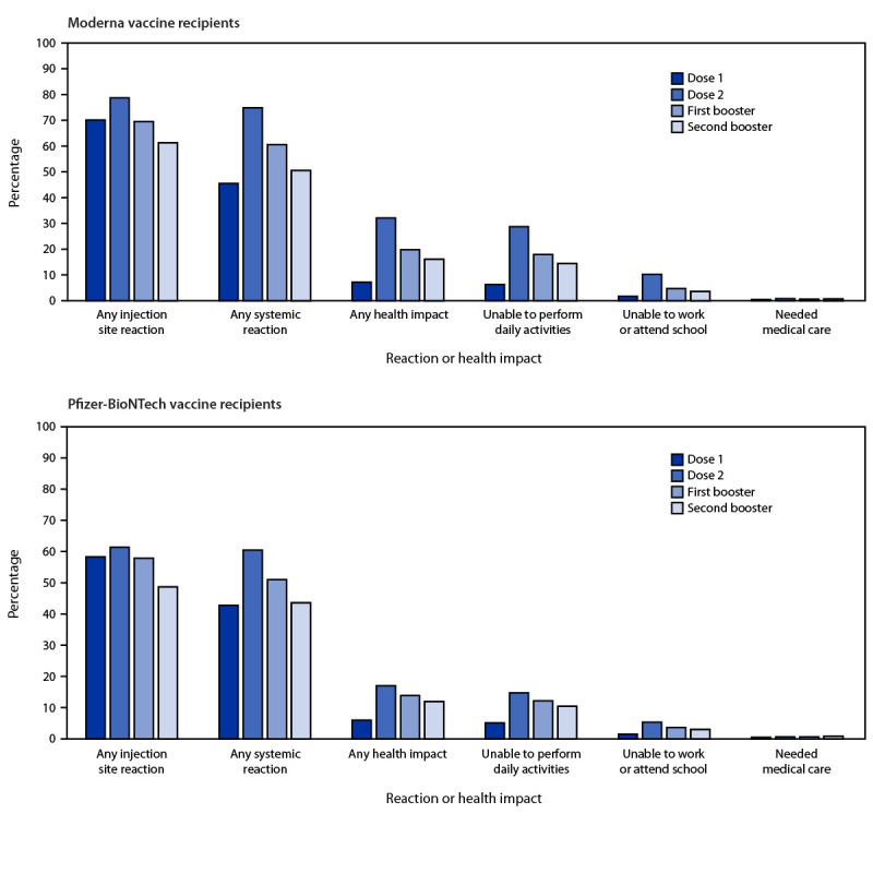
    The Advisory Committee on Immunization Practices (ACIP) recommends that all persons aged ≥5 years receive 1 booster dose of a COVID-19 vaccine after completion of their primary series.* On March 29, 2022, the Food and Drug Administration (FDA) authorized a second mRNA booster dose ≥4 months after receipt of a first booster dose for adults aged ≥50 years and persons aged ≥12 years with moderate to severe immunocompromise (1,2). To characterize the safety of a second mRNA booster dose among persons aged ≥50 years, CDC reviewed adverse events and health impact assessments reported to v-safe and the Vaccine Adverse Event Reporting System (VAERS) after receipt of a second mRNA booster dose during March 29-July 10, 2022. V-safe is a voluntary smartphone-based U.S. active surveillance system that monitors adverse events occurring after COVID-19 vaccination. VAERS is a U.S. passive surveillance system for monitoring adverse events after vaccination, managed by CDC and FDA (3). During March 29-July 10, 2022, approximately 16.8 million persons in the United States aged ≥50 years received a fourth dose.| Among 286,380 v-safe registrants aged ≥50 years who reported receiving a second booster of an mRNA vaccine, 86.9% received vaccines from the same manufacturer for all 4 doses (i.e., homologous vaccination). Among registrants who reported homologous vaccination, injection site and systemic reactions were less frequent after the second booster dose than after the first booster dose. VAERS received 8,515 reports of adverse events after second mRNA booster doses among adults aged ≥50 years, including 8,073 (94.8%) nonserious and 442 (5.1%) serious events. CDC recommends that health care providers and patients be advised that local and systemic reactions are expected after a second booster dose, and that serious adverse events are uncommon.
  • Subjects:
  • Source:
    MMWR Morbidity Mortal Weekly Rep. 71(30):971-976
  • Series:
  • DOI:
  • ISSN:
    0149-2195 (print) ; 1545-861X (digital)
  • Pubmed ID:
    35900925
  • Pubmed Central ID:
    PMC9345177
  • Document Type:
  • Pages in Document:
    6 pdf pages
  • Volume:
    71
  • Issue:
    30
  • Collection(s):
  • Main Document Checksum:
    urn:sha-512:426adb6c80d44ebedc60338b2c926cfda1db9d0f7125e67890fae6048a9a82e83d0465d7611e2ee525c8d2c6f497e9ef82b452bdf32aff1232771a20fbff62aa
  • Download URL:
  • File Type:
    Filetype[PDF - 310.63 KB ]
File Language:
English
ON THIS PAGE

CDC STACKS serves as an archival repository of CDC-published products including scientific findings, journal articles, guidelines, recommendations, or other public health information authored or co-authored by CDC or funded partners.

As a repository, CDC STACKS retains documents in their original published format to ensure public access to scientific information.