U.S. flag An official website of the United States government.
Official websites use .gov

A .gov website belongs to an official government organization in the United States.

Secure .gov websites use HTTPS

A lock ( ) or https:// means you've safely connected to the .gov website. Share sensitive information only on official, secure websites.

i

Cross-Sectional Study of High School Students

Supporting Files
File Language:
English


Details

  • Alternative Title:
    Psychol Violence
  • Personal Author:
  • Description:
    Objective:

    To identify rates of victimization experiences by gender identity and sexual orientation in a large regional sample of 14-to-17-year old high school students.

    Method:

    All 10th grade students from 27 Northeastern high schools were invited to participate in a survey of dating and sexual experiences (N = 2,766).

    Results:

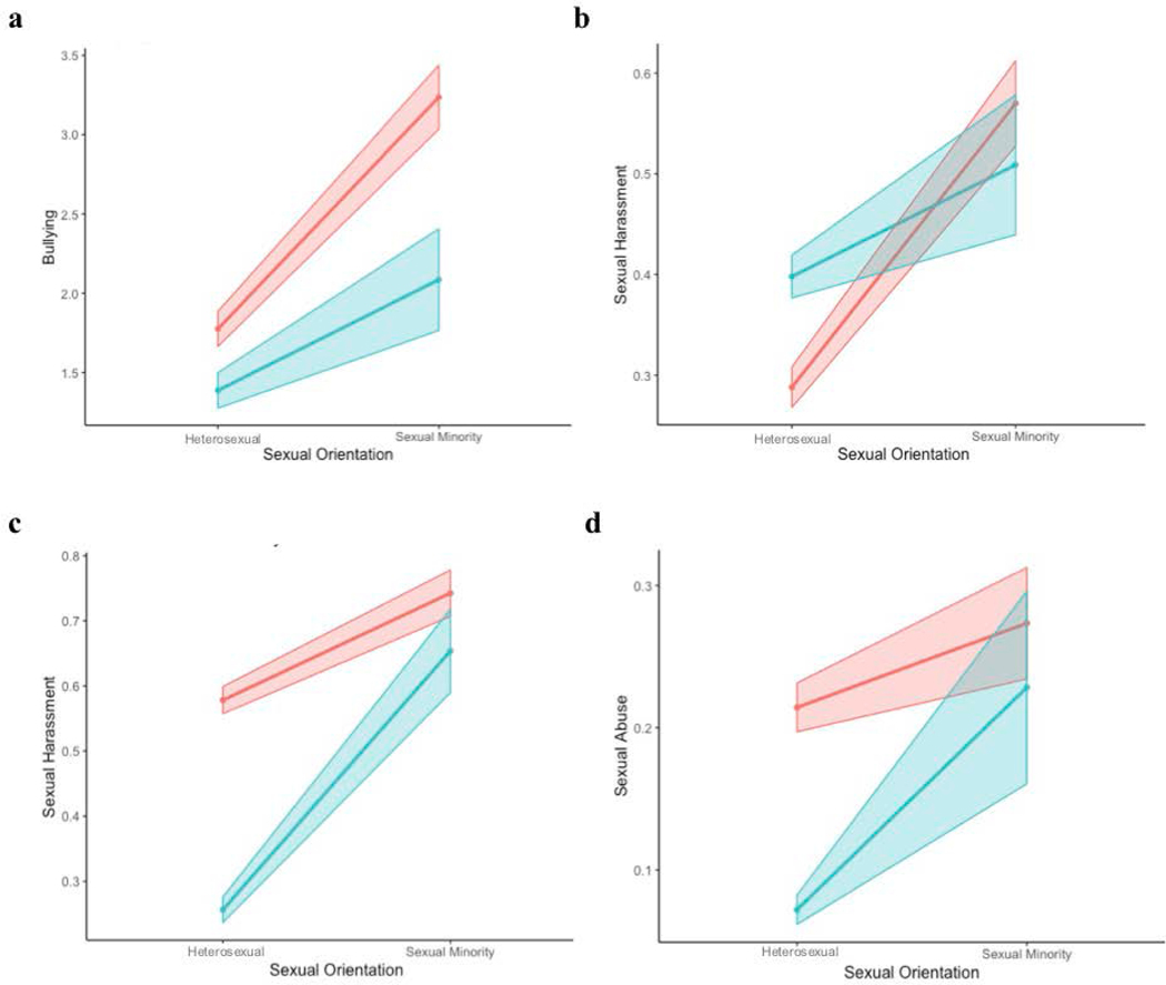
    Compared with heterosexual youth, sexual minority youth reported greater peer victimization of every kind (i.e., bullying, sexual harassment, unwanted sexual contact and intercourse, and every type of dating conflict [threatening behavior, physical abuse, and sexual abuse]). Sexual minority girls evinced particularly high levels of bullying. Similarly, transgender youth were more likely than nontransgender youth to experience every form of peer victimization except physical abuse in a dating relationship. Cumulatively, 91% of sexual minority girls, 86% of transgender youth, and 79% of sexual minority boys experienced at least one form of peer victimization, compared to 78% of heterosexual girls and 63% of heterosexual boys. Further, 14% of transgender youth experienced all 4 victimization types in the past year alone. Finally, bias-based harassment was rarely the only form of victimization experienced by these youth.

    Conclusion:

    The victimization of sexual minority youth, particularly girls, and transgender youth was pervasive across individual forms of victimization and multiple forms of victimization concurrently. Further, bias-based harassment was imbedded within a pattern of victimization, such that youth experienced it in concert with multiple other forms of victimization. Researchers implementing prevention-based programs for interpersonal violence should examine the experiences of and impact on youth of diverse gender and sexual identities.

  • Subjects:
  • Source:
    Psychol Violence. 10(2):201-211
  • Pubmed ID:
    35979532
  • Pubmed Central ID:
    PMC9380522
  • Document Type:
  • Funding:
  • Volume:
    10
  • Issue:
    2
  • Collection(s):
  • Main Document Checksum:
    urn:sha256:9c67d5836fe0d23b15b56388c57f9cdb865598b591c6cbc0ddfcc432ba567f0c
  • Download URL:
  • File Type:
    Filetype[PDF - 580.52 KB ]
File Language:
English
ON THIS PAGE

CDC STACKS serves as an archival repository of CDC-published products including scientific findings, journal articles, guidelines, recommendations, or other public health information authored or co-authored by CDC or funded partners.

As a repository, CDC STACKS retains documents in their original published format to ensure public access to scientific information.