U.S. flag An official website of the United States government.
Official websites use .gov

A .gov website belongs to an official government organization in the United States.

Secure .gov websites use HTTPS

A lock ( ) or https:// means you've safely connected to the .gov website. Share sensitive information only on official, secure websites.

i

The magnitude and distribution of iron deficiency using serum/plasma ferritin among preschool children and non-pregnant women: a multi-country analysis

Supporting Files
File Language:
English


Details

  • Alternative Title:
    Med Res Arch
  • Personal Author:
  • Description:
    Background:

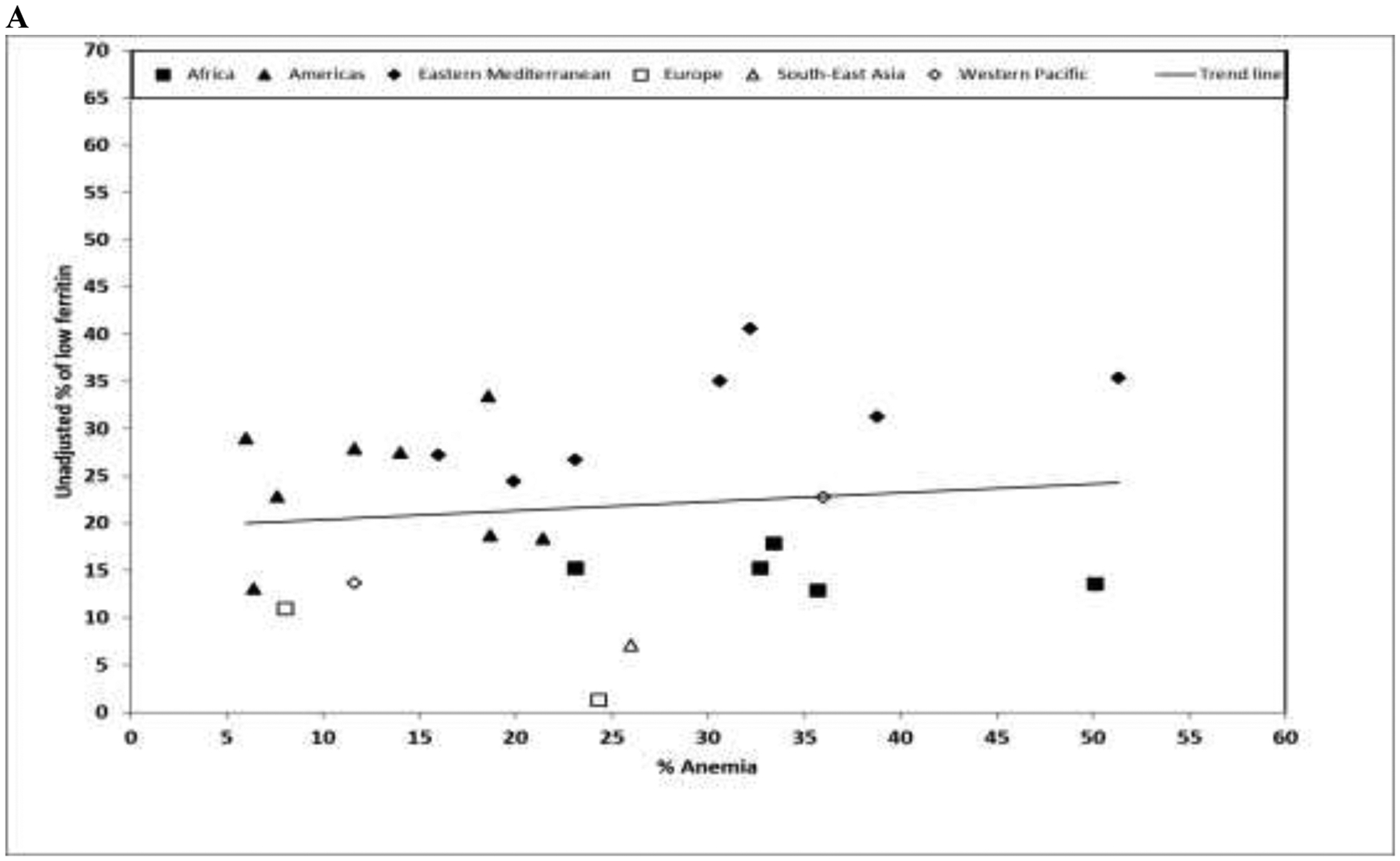
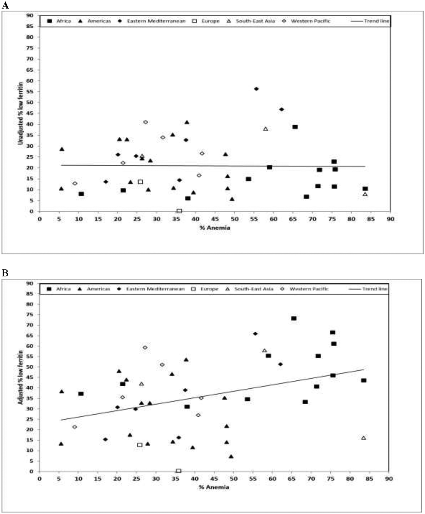
    In 2004, World Health Organization (WHO) recommended the use of serum ferritin as a primary indicator of iron deficiency. However, there was limited data on the magnitude and distribution of iron deficiency based on ferritin.

    Objective:

    To describe the prevalence of iron deficiency as measured by serum/plasma ferritin in different regions of the world and its relationship with demographic and health indicators.

    Methods:

    Data from the Biomarkers Reflecting Inflammation and Nutrition Determinants of Anemia and the WHO Vitamin and Mineral Nutrition Information System Micronutrients Database were used for this analysis. Unadjusted and inflammation-adjusted low ferritin prevalence were calculated for both databases. The prevalence of low ferritin among preschool children and non-pregnant women was examined according to its relationship with national gross domestic product (GDP), infant mortality rate (IMR), and anemia rate.

    Results:

    In children, the median inflammation-adjusted prevalence of low ferritin was 35.3% (1st and 3rd quartiles: 17.5% and 48.1%). In non-pregnant women, the median inflammation-adjusted prevalence of low ferritin was 28.4% (1st and 3rd quartiles: 21.4% and 42.0%). For both children and women, the correlation between the prevalence of low ferritin and GDP, IMR, or anemia was consistently stronger using inflammation-adjusted prevalences than when using unadjusted prevalences.

    Conclusions:

    The quartile values of low ferritin prevalence for children and non-pregnant women could be used to define the severity of ferritin as a public health problem.

  • Keywords:
  • Source:
    Med Res Arch. 7(12)
  • Pubmed ID:
    35919338
  • Pubmed Central ID:
    PMC9341006
  • Document Type:
  • Funding:
  • Volume:
    7
  • Issue:
    12
  • Collection(s):
  • Main Document Checksum:
    urn:sha-512:f2a2c64ebcfd3f75cb3c253acde379885fbfdb82092543cc650760a76cccb7e56cb868f1a88a433e4d2a94cfb4464abe4f99350ac673d350bb30bb8d3b68c68e
  • Download URL:
  • File Type:
    Filetype[PDF - 1.00 MB ]
File Language:
English
ON THIS PAGE

CDC STACKS serves as an archival repository of CDC-published products including scientific findings, journal articles, guidelines, recommendations, or other public health information authored or co-authored by CDC or funded partners.

As a repository, CDC STACKS retains documents in their original published format to ensure public access to scientific information.