U.S. flag An official website of the United States government.
Official websites use .gov

A .gov website belongs to an official government organization in the United States.

Secure .gov websites use HTTPS

A lock ( ) or https:// means you've safely connected to the .gov website. Share sensitive information only on official, secure websites.

i

Modifiable Risk Factors for Alzheimer Disease and Related Dementias Among Adults Aged ≥45 Years — United States, 2019

Supporting Files Public Domain
File Language:
English


Details

  • Journal Article:
    Morbidity and Mortality Weekly Report (MMWR)
  • Personal Author:
  • Description:
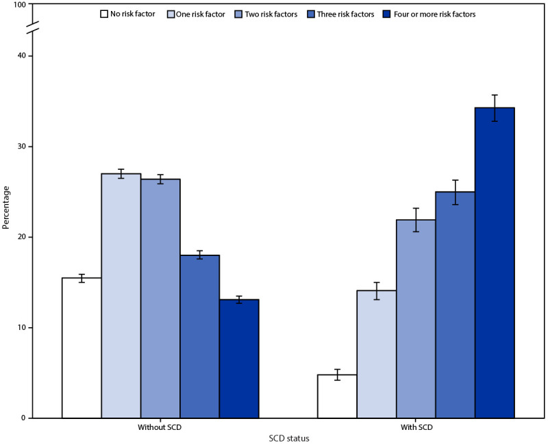
    Alzheimer disease,* the most common cause of dementia, affects an estimated 6.5 million persons aged ≥65 years in the United States (1). A growing body of evidence has identified potential modifiable risk factors for Alzheimer disease and related dementias (ADRD) (1-3). In 2021, the National Plan to Address Alzheimer's Disease (National Plan) introduced a new goal to "accelerate action to promote healthy aging and reduce risk factors for Alzheimer's disease and related dementias" to help delay onset or slow the progression of ADRD (3). To assess the status of eight potential modifiable risk factors (i.e., high blood pressure, not meeting the aerobic physical activity guideline, obesity, diabetes, depression, current cigarette smoking, hearing loss, and binge drinking), investigators analyzed data from the cognitive decline module that was administered to adults aged ≥45 years in 31 states and the District of Columbia (DC)| in the 2019 Behavioral Risk Factor Surveillance System (BRFSS) survey. Among the risk factors, prevalence was highest for high blood pressure (49.9%) and lowest for binge drinking (10.3%) and varied by selected demographic characteristics. Adults with subjective cognitive decline (SCD),| an early indicator of possible future ADRD (4), were more likely to report four or more risk factors than were those without SCD (34.3% versus 13.1%). Prevalence of SCD was 11.3% overall and increased from 3.9% among adults with no risk factors to 25.0% among those with four or more risk factors. Implementing evidence-based strategies to address modifiable risk factors can help achieve the National Plan's new goal to reduce risk for ADRD while promoting health aging.|*.
  • Subjects:
  • Source:
    MMWR Morbidity Mortal Weekly Rep. 71(20):680-685
  • Series:
  • DOI:
  • ISSN:
    0149-2195 (print) ; 1545-861X (digital)
  • Pubmed ID:
    35587456
  • Pubmed Central ID:
    PMC9129905
  • Document Type:
  • Place as Subject:
  • Pages in Document:
    6 pdf pages
  • Volume:
    71
  • Issue:
    20
  • Collection(s):
  • Main Document Checksum:
    urn:sha-512:c4a7cb5966122c227e5b76c7dd39002a054357606ead2c0db6c0b8f25e827a40a9efc0ab90f5dc11264d6b93a26eed8a4cd01546b0b15d0f98c83d710a5e377c
  • Download URL:
  • File Type:
    Filetype[PDF - 374.02 KB ]
File Language:
English
ON THIS PAGE

CDC STACKS serves as an archival repository of CDC-published products including scientific findings, journal articles, guidelines, recommendations, or other public health information authored or co-authored by CDC or funded partners.

As a repository, CDC STACKS retains documents in their original published format to ensure public access to scientific information.