U.S. flag An official website of the United States government.
Official websites use .gov

A .gov website belongs to an official government organization in the United States.

Secure .gov websites use HTTPS

A lock ( ) or https:// means you've safely connected to the .gov website. Share sensitive information only on official, secure websites.

i

Clinic- and Community-Based SARS-CoV-2 Testing Among People Experiencing Homelessness in the United States, March–November 2020

Supporting Files Public Domain
File Language:
English


Details

  • Alternative Title:
    Public Health Rep
  • Personal Author:
  • Description:
    Objective:

    SARS-CoV-2 testing is a critical component of preventing the spread of COVID-19. In the United States, people experiencing homelessness (PEH) have accessed testing at health clinics, such as those provided through Health Care for the Homeless (HCH) clinics or through community-based testing events at homeless service sites or encampments. We describe data on SARS-CoV-2 testing among PEH in US clinic- and community-based settings from March through November 2020.

    Methods:

    We conducted a descriptive analysis of data from HCH clinics and community testing events. We used a standardized survey to request data from HCH clinics. We developed and made publicly available an online data entry portal to collect data from community-based organizations that provided testing for PEH. We assessed positivity rates across clinics and community service sites serving PEH and used generalized linear mixed models to account for clustering.

    Results:

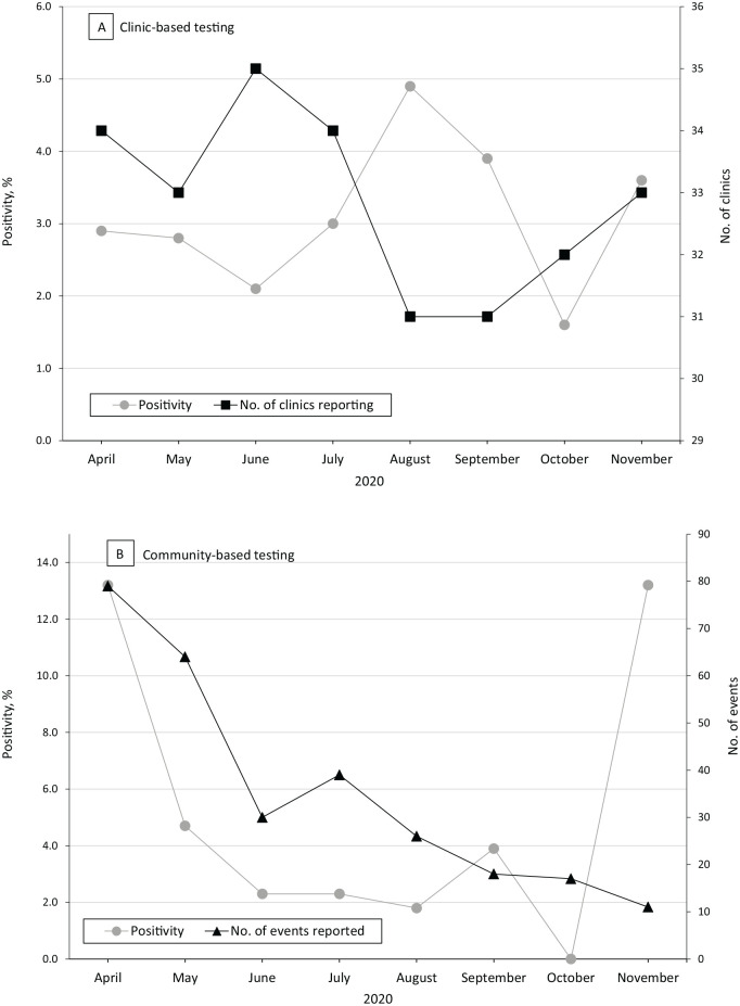
    Thirty-seven HCH clinics reported providing 280 410 tests; 3.2% (n = 8880) had positive results (range, 1.6%-4.9%). By race, positivity rates were highest among people who identified as >1 race (11.6%; P < .001). During the reporting period, 22 states reported 287 community testing events and 14 116 tests; 7.1% (n = 1004) had positive results. Among facility types, day shelters (380 of 2697; 14.1%) and inpatient drug/alcohol rehabilitation facilities (32 of 251; 12.7%) reported the highest positivity rates.

    Conclusions:

    While HCH clinic data provided results for a larger number of patients, community-based testing data showed higher positivity rates. Clinic data demonstrated racial disparities in positivity. Community-based testing data provided information about SARS-CoV-2 transmission settings. Although these data provide information about testing, standard surveillance systems are needed to better understand the incidence of disease among PEH.

  • Subjects:
  • Source:
    Public Health Rep. 2022;
  • Pubmed ID:
    35403502
  • Pubmed Central ID:
    PMC9066227
  • Document Type:
  • Place as Subject:
  • Collection(s):
  • Main Document Checksum:
    urn:sha256:167e33b1978704b489b360912246b31cf7fe64ca493d44aea24ddcf32714b074
  • Download URL:
  • File Type:
    Filetype[PDF - 816.53 KB ]
File Language:
English
ON THIS PAGE

CDC STACKS serves as an archival repository of CDC-published products including scientific findings, journal articles, guidelines, recommendations, or other public health information authored or co-authored by CDC or funded partners.

As a repository, CDC STACKS retains documents in their original published format to ensure public access to scientific information.