Unified exact design with early stopping rules for single arm clinical trials with multiple endpoints
Supporting Files
-
7 2021
-
File Language:
English
Details
-
Alternative Title:Stat Methods Med Res
-
Personal Author:
-
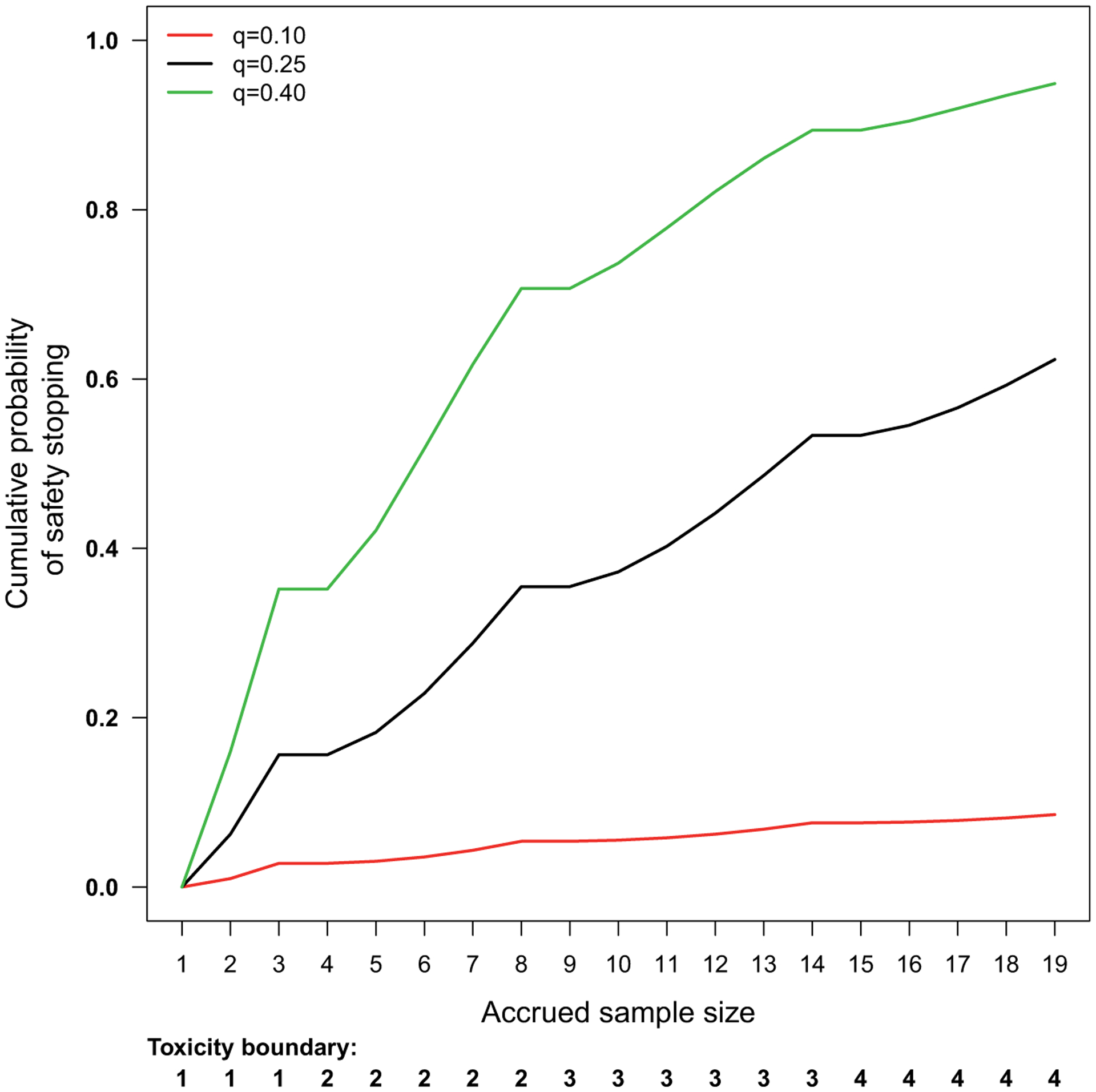
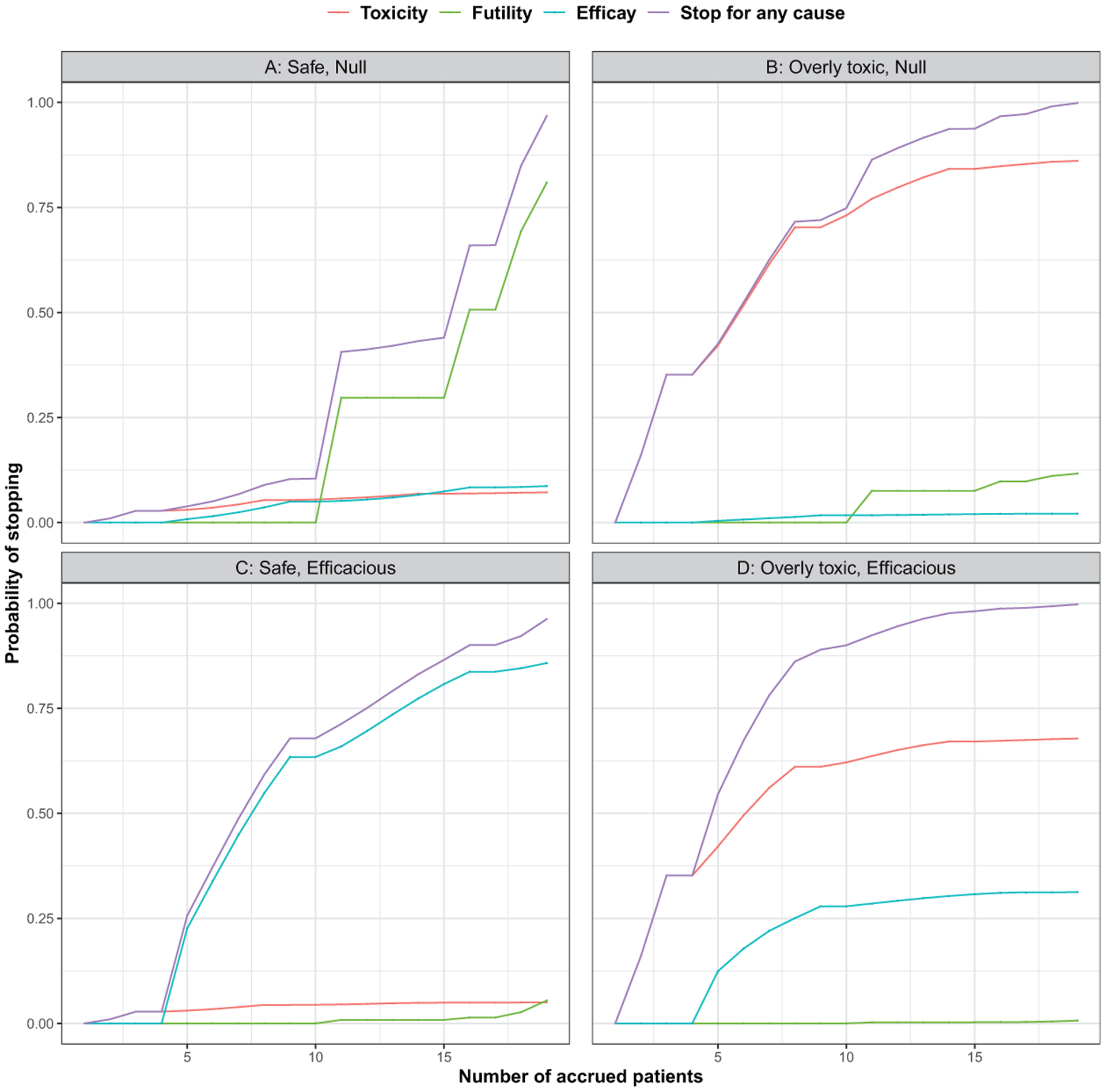
Description:Adaptive designs are gaining popularity in early phase clinical trials because they enable investigators to change the course of a study in response to accumulating data. We propose a novel design to simultaneously monitor several endpoints. These include efficacy, futility, toxicity and other outcomes in early phase, single-arm studies. We construct a recursive relationship to compute the exact probabilities of stopping for any combination of endpoints without the need for simulation, given pre-specified decision rules. The proposed design is flexible in the number and timing of interim analyses. A R Shiny app with user-friendly web interface has been created to facilitate the implementation of the proposed design.
-
Subjects:
-
Keywords:
-
Source:Stat Methods Med Res. 30(7):1575-1588
-
Pubmed ID:34159859
-
Pubmed Central ID:PMC8959087
-
Document Type:
-
Funding:R01 ES005775/ES/NIEHS NIH HHSUnited States/ ; UL1 TR001863/TR/NCATS NIH HHSUnited States/ ; U01 CA235747/CA/NCI NIH HHSUnited States/ ; U48 DP005023/DP/NCCDPHP CDC HHSUnited States/ ; P50 CA121974/CA/NCI NIH HHSUnited States/ ; R35 CA197574/CA/NCI NIH HHSUnited States/ ; R01 CA168733/CA/NCI NIH HHSUnited States/ ; P30 CA016359/CA/NCI NIH HHSUnited States/ ; R01 CA223481/CA/NCI NIH HHSUnited States/ ; P50 CA196530/CA/NCI NIH HHSUnited States/ ; P50 DE030707/DE/NIDCR NIH HHSUnited States/ ; R41 AI120546/AI/NIAID NIH HHSUnited States/ ; UM1 CA186689/CA/NCI NIH HHSUnited States/ ; R01 CA177719/CA/NCI NIH HHSUnited States/
-
Volume:30
-
Issue:7
-
Collection(s):
-
Main Document Checksum:urn:sha-512:017029e9296d0a5f3e681656246812f22c74fe78b5aeaa480429e487dbd60a14cb1e5b34e0f87a926df5b2c502dacd26fe1ca9b6e1f6a77db781dfdf39e7f6bd
-
Download URL:
-
File Type:
Supporting Files
File Language:
English
ON THIS PAGE
CDC STACKS serves as an archival repository of CDC-published products including
scientific findings,
journal articles, guidelines, recommendations, or other public health information authored or
co-authored by CDC or funded partners.
As a repository, CDC STACKS retains documents in their original published format to ensure public access to scientific information.
As a repository, CDC STACKS retains documents in their original published format to ensure public access to scientific information.
You May Also Like
COLLECTION
CDC Public Access