U.S. flag An official website of the United States government.
Official websites use .gov

A .gov website belongs to an official government organization in the United States.

Secure .gov websites use HTTPS

A lock ( ) or https:// means you've safely connected to the .gov website. Share sensitive information only on official, secure websites.

i

The Role of Intimate Partner Violence and Relationship Satisfaction in Couples’ Interpersonal Emotional Arousal

Supporting Files
File Language:
English


Details

  • Alternative Title:
    J Fam Psychol
  • Personal Author:
  • Description:
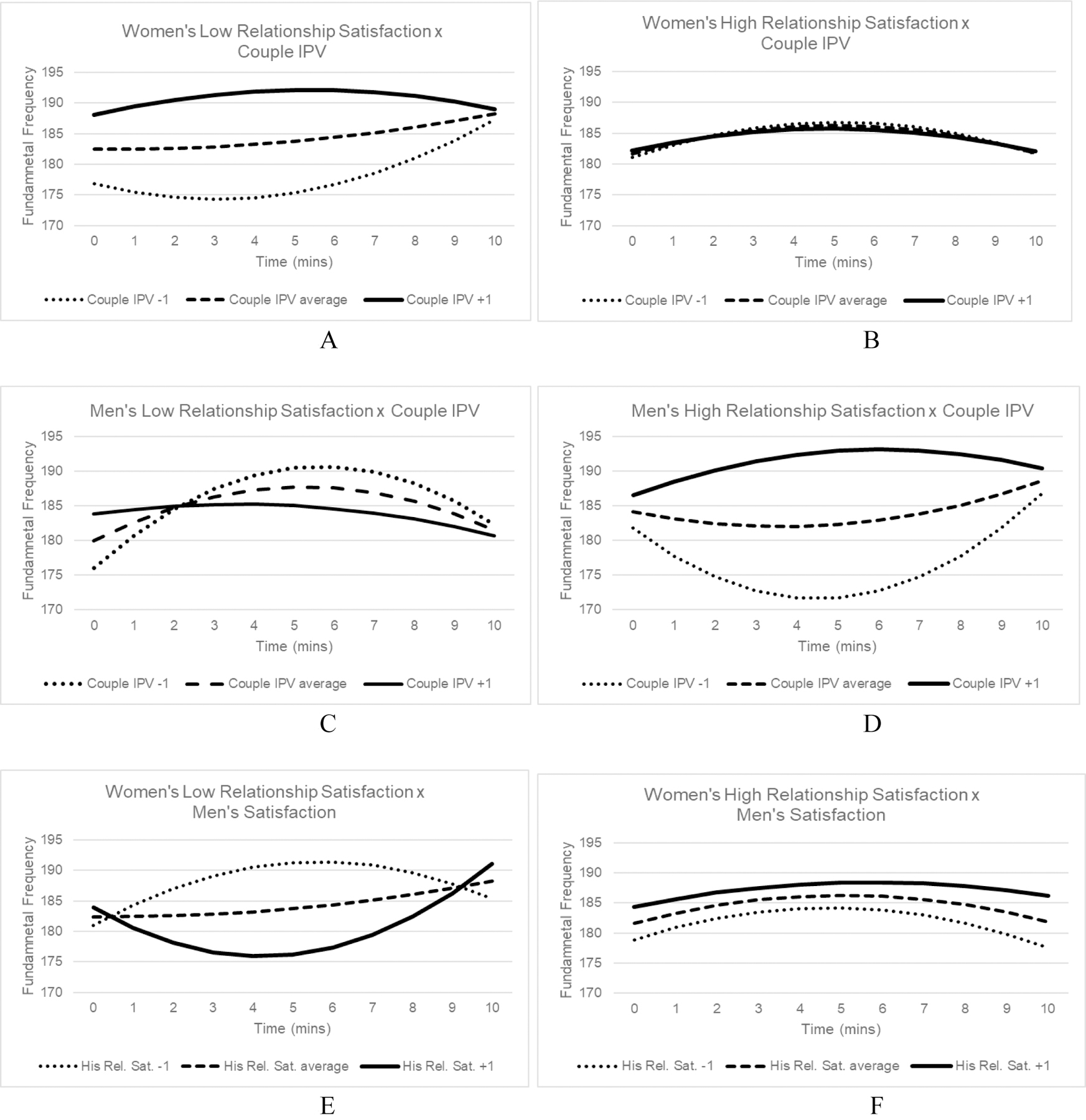
    To inform interpersonal models of intimate partner violence (IPV), the present study examines patterns of vocally encoded emotional arousal during the conversations of mixed-gender couples who reported on the extent of physical and psychological IPV and degree of relationship satisfaction (| = 149). All couples completed two problem-solving discussions. Emotional arousal was measured continuously during each conversation using vocal fundamental frequency. Contrary to expectations, results demonstrated that trajectories of arousal differed based on gender, IPV, and relationship satisfaction. Within conversations, men demonstrated linear increases in arousal at higher levels of IPV, suggesting that men may either struggle to contain their emotions or use heightened emotional expression as a conflict strategy in relationships with more extensive IPV. Conversely, women exhibited different trajectories of arousal depending on the combinations of relationship satisfaction and couple IPV, except at higher levels of their own satisfaction. Specifically, when women reported being highly satisfied in their relationships, they demonstrated similarly shaped trajectories across all levels of IPV and men's satisfaction. Together, this suggests that women's higher relationship satisfaction may buffer their emotional expression, although this may not always be adaptive within the context of relationships with extensive IPV. Overall, this study offers insight into the dynamic interpersonal processes linked with relationship distress and IPV and implies the need for a more nuanced, interpersonal research agenda for IPV research. (PsycInfo Database Record (c) 2022 APA, all rights reserved).
  • Subjects:
  • Source:
    J Fam Psychol. 36(3):385-395
  • Pubmed ID:
    34472937
  • Pubmed Central ID:
    PMC8888773
  • Document Type:
  • Funding:
  • Volume:
    36
  • Issue:
    3
  • Collection(s):
  • Main Document Checksum:
    urn:sha256:214c4c50970564a760e1158a8227d81328a466d6114705165f0321c4f10357d2
  • Download URL:
  • File Type:
    Filetype[PDF - 742.34 KB ]
File Language:
English
ON THIS PAGE

CDC STACKS serves as an archival repository of CDC-published products including scientific findings, journal articles, guidelines, recommendations, or other public health information authored or co-authored by CDC or funded partners.

As a repository, CDC STACKS retains documents in their original published format to ensure public access to scientific information.