Evaluation of metal aerosols in four communities adjacent to metal recyclers in Houston, Texas, USA
Supporting Files
-
5 2020
-
File Language:
English
Details
-
Alternative Title:J Air Waste Manag Assoc
-
Personal Author:
-
Description:Implications:
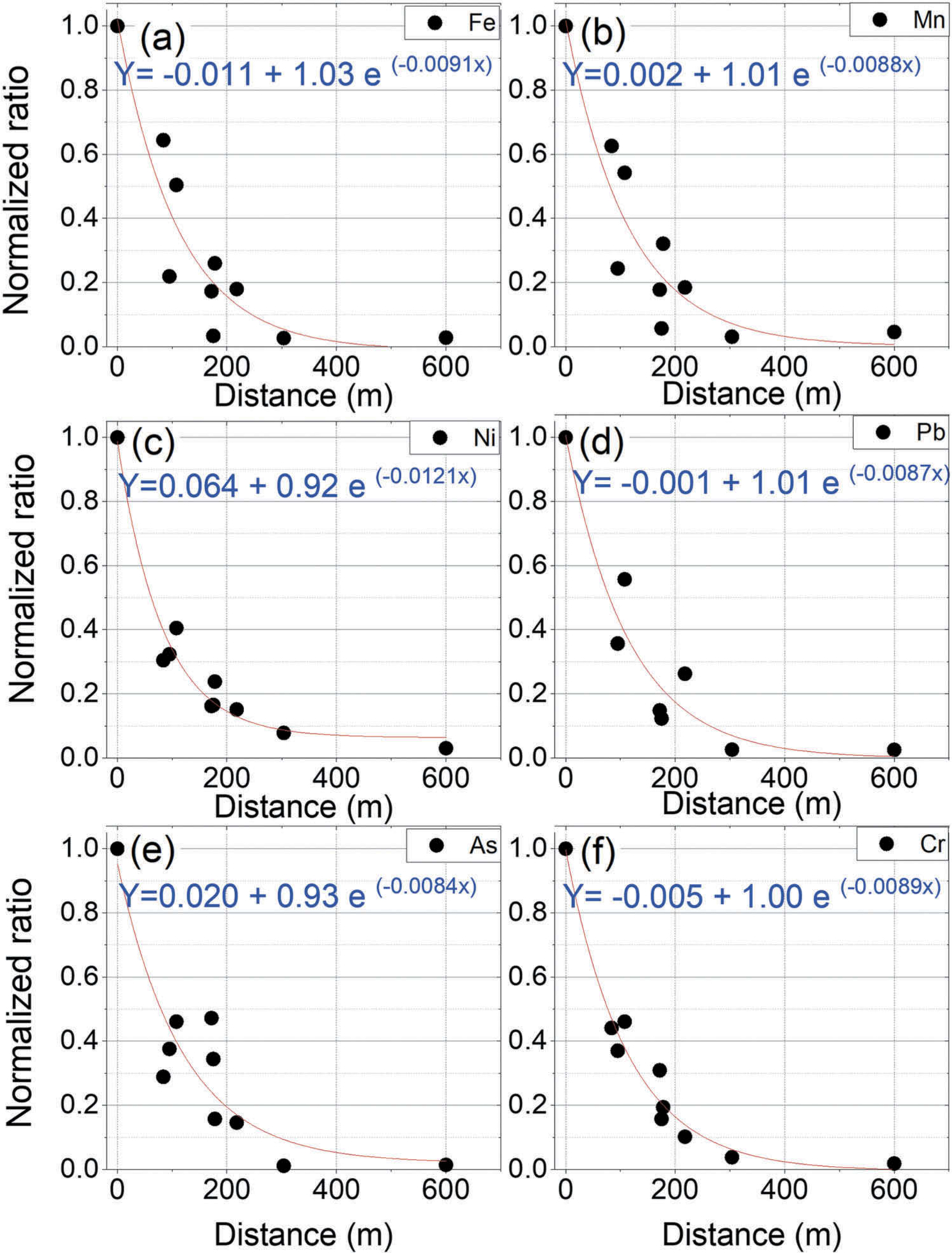
In Houston, Texas, residents complained about air quality related to metal recyclers from 2006 to 2011. Using a community-based participatory research method, metal emissions were characterized at four environmental justice communities. The results indicate that metal concentrations were the highest at the fence line and decreased by 57–70% within 100 meters and reached similar levels of background at 600 meters. After adjusting the measured data for meteorological parameters and operating hours, estimated inhalation cancer risks ranged from 0.12 cases to 24 cases in 1 million people and hazard index values ranged from 0.04 to 11.
-
Subjects:
-
Source:J Air Waste Manag Assoc. 70(5):568-579
-
Pubmed ID:32315255
-
Pubmed Central ID:PMC7390491
-
Document Type:
-
Funding:
-
Volume:70
-
Issue:5
-
Collection(s):
-
Main Document Checksum:urn:sha-512:7fde06b774df3e5aa7268a6cde08456d4052081df1bf10aeb2a650489e833209a08a6d14a940df0ce02dba80b33976236d2d0a943d52977dced27b3eb75e2b04
-
Download URL:
-
File Type:
Supporting Files
File Language:
English
ON THIS PAGE
CDC STACKS serves as an archival repository of CDC-published products including
scientific findings,
journal articles, guidelines, recommendations, or other public health information authored or
co-authored by CDC or funded partners.
As a repository, CDC STACKS retains documents in their original published format to ensure public access to scientific information.
As a repository, CDC STACKS retains documents in their original published format to ensure public access to scientific information.
You May Also Like
COLLECTION
CDC Public Access