Replicative Fitness of Seasonal Influenza A Viruses With Decreased Susceptibility to Baloxavir
Supporting Files
-
1 14 2020
-
File Language:
English
Details
-
Alternative Title:J Infect Dis
-
Personal Author:
-
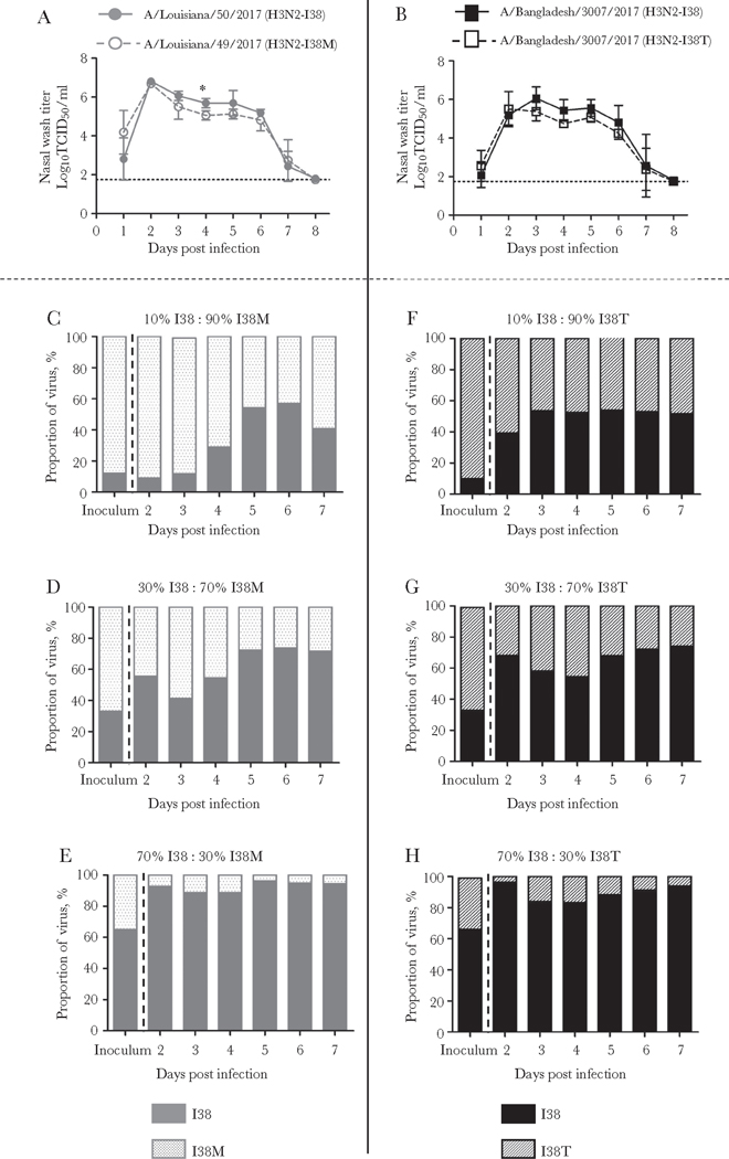
Description:Susceptibility of influenza A viruses to baloxavir can be affected by changes at amino acid residue 38 in the polymerase acidic (PA) protein. Information on replicative fitness of PA-I38-substituted viruses remains sparse. We demonstrated that substitutions I38L/M/S/T not only had a differential effect on baloxavir susceptibility (9- to 116-fold) but also on in vitro replicative fitness. Although I38L conferred undiminished growth, other substitutions led to mild attenuation. In a ferret model, control viruses outcompeted those carrying I38M or I38T substitutions, although their advantage was limited. These findings offer insights into the attributes of baloxavir-resistant viruses needed for informed risk assessment.
-
Subjects:
-
Source:J Infect Dis. 221(3):367-371
-
Pubmed ID:31541547
-
Pubmed Central ID:PMC8851376
-
Document Type:
-
Funding:
-
Volume:221
-
Issue:3
-
Collection(s):
-
Main Document Checksum:urn:sha256:32338d51622c1fa1a8c4706da7f3a7c4e86ff8dc437bddafd5d93e626258f50c
-
Download URL:
-
File Type:
Supporting Files
File Language:
English
ON THIS PAGE
CDC STACKS serves as an archival repository of CDC-published products including
scientific findings,
journal articles, guidelines, recommendations, or other public health information authored or
co-authored by CDC or funded partners.
As a repository, CDC STACKS retains documents in their original published format to ensure public access to scientific information.
As a repository, CDC STACKS retains documents in their original published format to ensure public access to scientific information.
You May Also Like
COLLECTION
CDC Public Access