Human Papillomavirus Vaccination Coverage Among Girls Before 13 Years: A Birth Year Cohort Analysis of the National Immunization Survey–Teen, 2008–2013
Supporting Files
-
9 2016
-
File Language:
English
Details
-
Alternative Title:Clin Pediatr (Phila)
-
Personal Author:
-
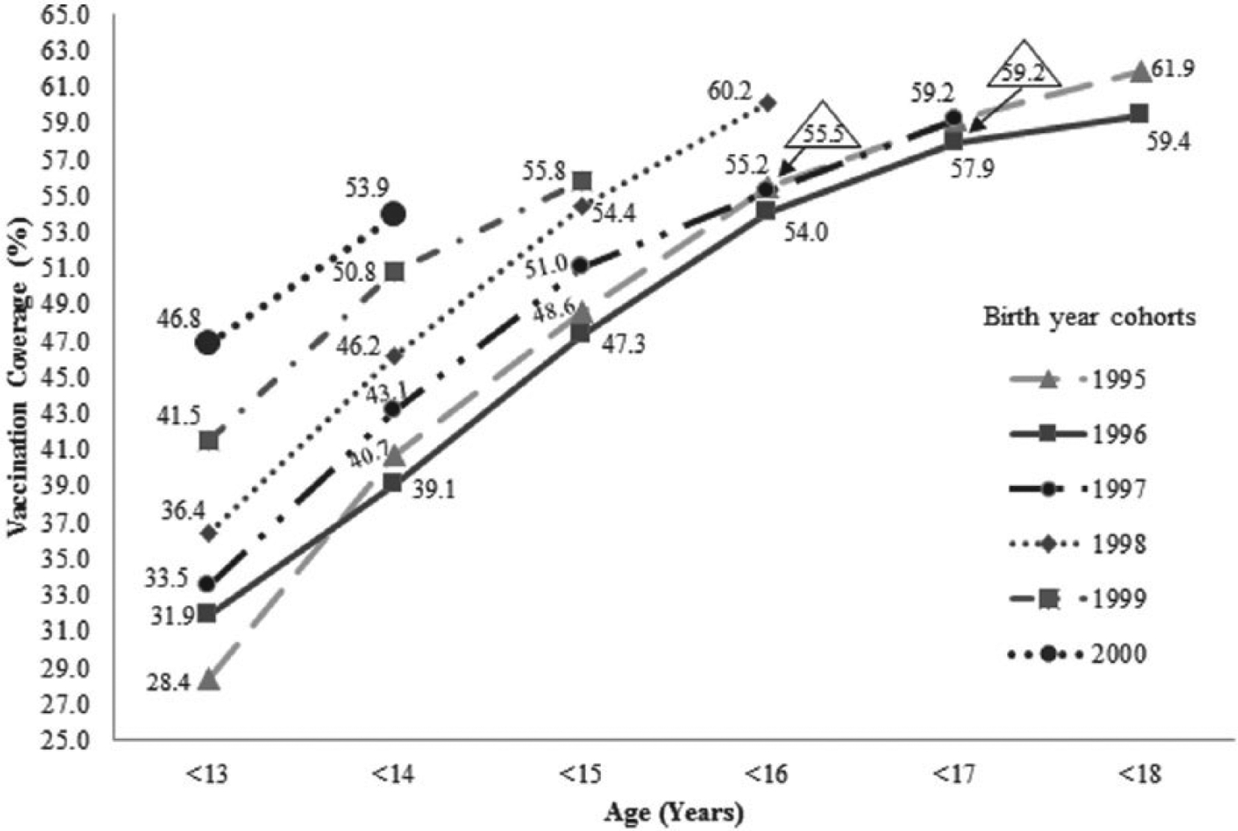
Description:Routine human papillomavirus (HPV) vaccination is recommended at 11 or 12 years by the Advisory Committee on Immunization Practices. National Immunization Survey-Teen data were analyzed to evaluate, among girls, coverage with one or more doses of HPV vaccination, missed opportunities for HPV vaccination, and potential achievable coverage before 13 years. Results were stratified by birth year cohorts. HPV vaccination coverage before 13 years (≥1 HPV dose) increased from 28.4% for girls born in 1995 to 46.8% for girls born in 2000. Among girls born during 1999-2000 who had not received HPV vaccination before 13 years (57.2%), 80.1% had at least 1 missed opportunity to receive HPV vaccination before 13 years. Opportunities to vaccinate for HPV at age 11 to 12 years are missed. Strategies are needed to decrease these missed opportunities for HPV vaccination. This can be facilitated by the administration of all vaccines recommended for adolescents at the same visit.
-
Subjects:
-
Source:Clin Pediatr (Phila). 55(10):904-914
-
Pubmed ID:26603581
-
Pubmed Central ID:PMC8591583
-
Document Type:
-
Funding:
-
Place as Subject:
-
Volume:55
-
Issue:10
-
Collection(s):
-
Main Document Checksum:urn:sha256:17141f70f1b3340710512cbec19ca01b815c609e6ff6f756d805cb444a5169cc
-
Download URL:
-
File Type:
Supporting Files
File Language:
English
ON THIS PAGE
CDC STACKS serves as an archival repository of CDC-published products including
scientific findings,
journal articles, guidelines, recommendations, or other public health information authored or
co-authored by CDC or funded partners.
As a repository, CDC STACKS retains documents in their original published format to ensure public access to scientific information.
As a repository, CDC STACKS retains documents in their original published format to ensure public access to scientific information.
You May Also Like
COLLECTION
CDC Public Access