U.S. flag An official website of the United States government.
Official websites use .gov

A .gov website belongs to an official government organization in the United States.

Secure .gov websites use HTTPS

A lock ( ) or https:// means you've safely connected to the .gov website. Share sensitive information only on official, secure websites.

i

Successful clinical outcomes following decentralization of tertiary paediatric HIV care to a community-based paediatric antiretroviral treatment network, Chiangrai, Thailand, 2002 to 2008

Supporting Files
File Language:
English


Details

  • Alternative Title:
    J Int AIDS Soc
  • Personal Author:
  • Description:
    Introduction

    Most paediatric antiretroviral treatments (ARTs) in Thailand are limited to tertiary care hospitals. To decentralize paediatric HIV treatment and care, Chiangrai Prachanukroh Hospital (CRH) strengthened a provincial paediatric HIV care network by training community hospital (CH) care teams to receive referrals of children for community follow-up. In this study, we assessed factors associated with death and clinical outcomes of HIV-infected children who received care at CRH and CHs after implementation of a community-based paediatric HIV care network.

    Methods

    Clinical records were abstracted for all children who initiated ART at CRH. Paired Wilcoxon signed rank tests were used to assess CD4% and virological change among all children. Cox proportional hazard models were used to assess factors associated with death. Treatment outcomes (CD4%, viral load (VL) and weight-for-age Z-score (WAZ)) were compared between CRH and CH children who met the criteria for analysis.

    Results

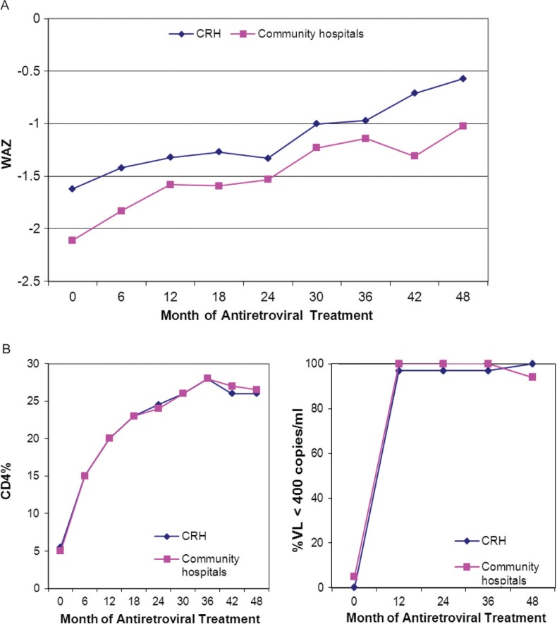
    Between February 2002 and April 2008, 423 HIV-infected children initiated ART and 410 included in the cohort analysis. Median follow-up for the cohort was 28 months (interquartile range (IQR)=12 to 42); 169 (41%) children were referred for follow-up at CH. As of 31 March 2008, 42 (10%) children had died. Baseline WAZ (<−2 (p=0.001)) and baseline CD4% (<5% (p=0.015)) were independently associated with death. At 48 months, 86% of ART-naïve children in follow-up had VL<400 copies/ml. For sub-group analysis, 133 children at CRH and 154 at CHs were included for comparison. Median baseline WAZ was lower in CH children than in CRH children (p=0.001); in both groups, WAZ, CD4% and VL improved after ART with no difference in rate of WAZ and CD4% gain (p=0.421 and 0.207, respectively).

    Conclusions

    Children at CHs had more severe immunological suppression and low WAZ at baseline. Community- and tertiary care-based paediatric ART follow-ups result in equally beneficial outcomes with the strengthening of a provincial referral network between tertiary and community care. Nutrition interventions may benefit children in community-based HIV treatment and care.

  • Subjects:
  • Source:
    J Int AIDS Soc. 2012; 15(2).
  • DOI:
  • Pubmed ID:
    23078768
  • Pubmed Central ID:
    PMC3494174
  • Document Type:
  • Funding:
  • Name as Subject:
  • Place as Subject:
  • Volume:
    15
  • Issue:
    2
  • Collection(s):
  • Main Document Checksum:
    urn:sha-512:8bca46689316eff1700bfe399d67c52fbbfdf62c4e8a338e56efafc7ed57abc8b9d60868dc1d7964f1a6aaf641df5be268efb4340809c977b148e744ccab84e6
  • Download URL:
  • File Type:
    Filetype[PDF - 955.09 KB ]
File Language:
English
ON THIS PAGE

CDC STACKS serves as an archival repository of CDC-published products including scientific findings, journal articles, guidelines, recommendations, or other public health information authored or co-authored by CDC or funded partners.

As a repository, CDC STACKS retains documents in their original published format to ensure public access to scientific information.