Malaria infection prevalence and sensitivity of reactive case detection in Zanzibar
Supporting Files
-
8 2020
-
File Language:
English
Details
-
Alternative Title:Int J Infect Dis
-
Personal Author:
-
Description:Background:
Reactive case detection (RCD) is a commonly used strategy for malaria surveillance and response in elimination settings. Many approaches to RCD assume detectable infections are clustered within and around homes of passively detected cases (index households), which has been evaluated in a number of settings with disparate results.
Methods:
Household questionnaires and diagnostic testing were conducted following RCD investigations in Zanzibar, Tanzania, including the index household and up to 9 additional neighboring households.
Results:
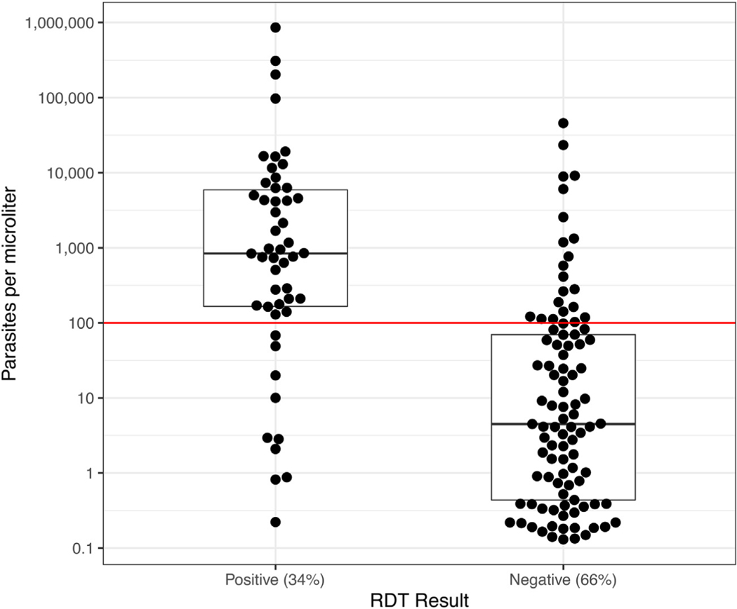
Of 12,487 participants tested by malaria rapid diagnostic test (RDT), 3·2% of those residing in index households and 0·4% of those residing in non-index households tested positive (OR = 8·4; 95%CI: 5·7, 12·5). Of 6,281 participants tested by quantitative polymerase chain reaction (qPCR), 8·4% of those residing in index households and 1·3% of those residing in non-index households tested positive (OR = 7·1; 95%CI: 6·1, 10·9). Within households of index cases defined as imported, odds of qPCR-positivity amongst members reporting recent travel were 1·4 times higher than among those without travel history (95%CI: 0·2, 4·4). Amongst non-index households, odds of qPCR-detectable infection were no different between households located within 50 m of the index household as compared with those located farther away (OR = 0·8, 95%CI: 0·5, 1·4). Sensitivity of RDT to detect qPCR-detectable infections was 34% (95%CI: 26·4, 42·3).
Conclusions:
Malaria prevalence in index households in Zanzibar is much higher than in non-index households, in which prevalence is very low. Travelers represent a high-risk population. Low sensitivity of RDTs due to a high prevalence of low-density infections results in an RCD system missing a large proportion of the parasite reservoir.
-
Subjects:
-
Source:Int J Infect Dis. 97:337-346
-
Pubmed ID:32534138
-
Pubmed Central ID:PMC8450816
-
Document Type:
-
Funding:
-
Place as Subject:
-
Volume:97
-
Collection(s):
-
Main Document Checksum:urn:sha256:dccef70f611b5ad71d670f225241a60794b822ce5b053f6204b2153003cf3201
-
Download URL:
-
File Type:
Supporting Files
File Language:
English
ON THIS PAGE
CDC STACKS serves as an archival repository of CDC-published products including
scientific findings,
journal articles, guidelines, recommendations, or other public health information authored or
co-authored by CDC or funded partners.
As a repository, CDC STACKS retains documents in their original published format to ensure public access to scientific information.
As a repository, CDC STACKS retains documents in their original published format to ensure public access to scientific information.
You May Also Like
COLLECTION
CDC Public Access