U.S. flag An official website of the United States government.
Official websites use .gov

A .gov website belongs to an official government organization in the United States.

Secure .gov websites use HTTPS

A lock ( ) or https:// means you've safely connected to the .gov website. Share sensitive information only on official, secure websites.

i

Longitudinal Trends in Body Mass Index Before and During the COVID-19 Pandemic Among Persons Aged 2–19 Years — United States, 2018–2020

Supporting Files Public Domain
File Language:
English


Details

  • Journal Article:
    Morbidity and Mortality Weekly Report (MMWR)
  • Personal Author:
  • Corporate Authors:
  • Description:
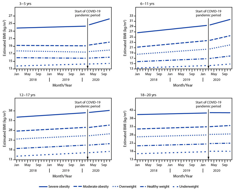
    Obesity is a serious health concern in the United States, affecting more than one in six children (1) and putting their long-term health and quality of life at risk.* During the COVID-19 pandemic, children and adolescents spent more time than usual away from structured school settings, and families who were already disproportionally affected by obesity risk factors might have had additional disruptions in income, food, and other social determinants of health.| As a result, children and adolescents might have experienced circumstances that accelerated weight gain, including increased stress, irregular mealtimes, less access to nutritious foods, increased screen time, and fewer opportunities for physical activity (e.g., no recreational sports) (2,3). CDC used data from IQVIA's Ambulatory Electronic Medical Records database to compare longitudinal Trends in body mass index (BMI, kg/m|) among a cohort of 432,302 persons aged 2-19 years before and during the COVID-19 pandemic (January 1, 2018-February 29, 2020 and March 1, 2020-November 30, 2020, respectively). Between the prepandemic and pandemic periods, the rate of BMI increase approximately doubled, from 0.052 (95% confidence interval [CI] = 0.051-0.052 to 0.100 (95% CI = 0.098-0.101) kg/m|/month (ratio = 1.93 [95% CI = 1.90-1.96]). Persons aged 2-19 years with overweight or obesity during the prepandemic period experienced significantly higher rates of BMI increase during the pandemic period than did those with healthy weight. These findings underscore the importance of efforts to prevent excess weight gain during and following the COVID-19 pandemic, as well as during future public health emergencies, including increased access to efforts that promote healthy behaviors. These efforts could include screening by health care providers for BMI, food security, and social determinants of health, increased access to evidence-based pediatric weight management programs and food assistance resources, and state, community, and school resources to facilitate healthy eating, physical activity, and chronic disease Prevention.
  • Subjects:
  • Source:
    MMWR Morbidity Mortal Weekly Rep. 70(37):1278-1283
  • Series:
  • DOI:
  • ISSN:
    0149-2195 (print) ; 1545-861X (digital)
  • Pubmed ID:
    34529635
  • Pubmed Central ID:
    PMC8445379
  • Document Type:
  • Place as Subject:
  • Pages in Document:
    6 pdf pages
  • Volume:
    70
  • Issue:
    37
  • Collection(s):
  • Main Document Checksum:
    urn:sha-512:b09ff05e2670826f48f7e32ac4f28a3d68cbbf4534fbbdc4c3a7984c6d3f15fd79b87431ab18eb17f3c1a0d466f6999deef0d8259d1286e0596d5e99165d5c7b
  • Download URL:
  • File Type:
    Filetype[PDF - 276.96 KB ]
File Language:
English
ON THIS PAGE

CDC STACKS serves as an archival repository of CDC-published products including scientific findings, journal articles, guidelines, recommendations, or other public health information authored or co-authored by CDC or funded partners.

As a repository, CDC STACKS retains documents in their original published format to ensure public access to scientific information.