U.S. flag An official website of the United States government.
Official websites use .gov

A .gov website belongs to an official government organization in the United States.

Secure .gov websites use HTTPS

A lock ( ) or https:// means you've safely connected to the .gov website. Share sensitive information only on official, secure websites.

i

COVID-19 Testing to Sustain In-Person Instruction and Extracurricular Activities in High Schools — Utah, November 2020–March 2021

Supporting Files Public Domain
File Language:
English


Details

  • Journal Article:
    Morbidity and Mortality Weekly Report (MMWR)
  • Personal Author:
  • Description:
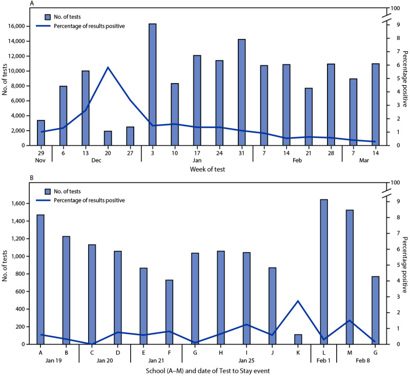
    Cessation of kindergarten through grade 12 in-person instruction and extracurricular activities, which has often occurred during the COVID-19 pandemic, can have negative social, emotional, and educational consequences for children (1,2). Although preventive measures such as masking, physical distancing, hand hygiene, and improved ventilation are commonly used in schools to reduce Transmission of SARS-CoV-2, the Virus that causes COVID-19, and support in-person instruction (3-6), routine school-based COVID-19 tTesting has not been as widely implemented. In addition to these types of standard preventive measures, Utah health and school partners implemented two high school tTesting programs to sustain extracurricular activities and in-person instruction and help identify SARS-CoV-2 infections: 1) Test to Play,* in which tTesting every 14 days was mandated for participation in extracurricular activities; and 2) Test to Stay,| which involved school-wide tTesting to continue in-person instruction as an alternative to transitioning to remote instruction if a school crossed a defined outbreak threshold (3). During November 30, 2020-March 20, 2021, among 59,552 students tested through these programs, 1,886 (3.2%) received a positive result. Test to Play was implemented at 127 (66%) of Utah's 193 public high schools and facilitated completion of approximately 95% of scheduled high school extracurricular winter athletics competition events.| Test to Stay was conducted at 13 high schools, saving an estimated 109,752 in-person instruction student-days.| School-based COVID-19 tTesting should be considered as part of a comprehensive Prevention strategy to help identify SARS-CoV-2 infections in schools and sustain in-person instruction and extracurricular activities.
  • Subjects:
  • Source:
    MMWR Morbidity Mortal Weekly Rep. 70(21):785-791
  • Series:
  • ISSN:
    0149-2195 (print) ; 1545-861X (digital)
  • Pubmed ID:
    34043614
  • Pubmed Central ID:
    PMC8158889
  • Document Type:
  • Place as Subject:
  • Pages in Document:
    7 pdf pages
  • Volume:
    70
  • Issue:
    21
  • Collection(s):
  • Main Document Checksum:
    urn:sha-512:183c3f3fbf55afdb102ec4388be0100bd86590a7792f6ebe4c90fe6142cc1ccebfa996c4ece94e3ec552a5925aae3c1a0192c0d7a5f8461a9bbc583171a1a9a9
  • Download URL:
  • File Type:
    Filetype[PDF - 164.36 KB ]
File Language:
English
ON THIS PAGE

CDC STACKS serves as an archival repository of CDC-published products including scientific findings, journal articles, guidelines, recommendations, or other public health information authored or co-authored by CDC or funded partners.

As a repository, CDC STACKS retains documents in their original published format to ensure public access to scientific information.