U.S. flag An official website of the United States government.
Official websites use .gov

A .gov website belongs to an official government organization in the United States.

Secure .gov websites use HTTPS

A lock ( ) or https:// means you've safely connected to the .gov website. Share sensitive information only on official, secure websites.

i

Cryptococcus transmission through solid organ transplantation in the United States: A Report from the Ad Hoc Disease Transmission Advisory Committee

Supporting Files
File Language:
English


Details

  • Alternative Title:
    Am J Transplant
  • Personal Author:
  • Description:
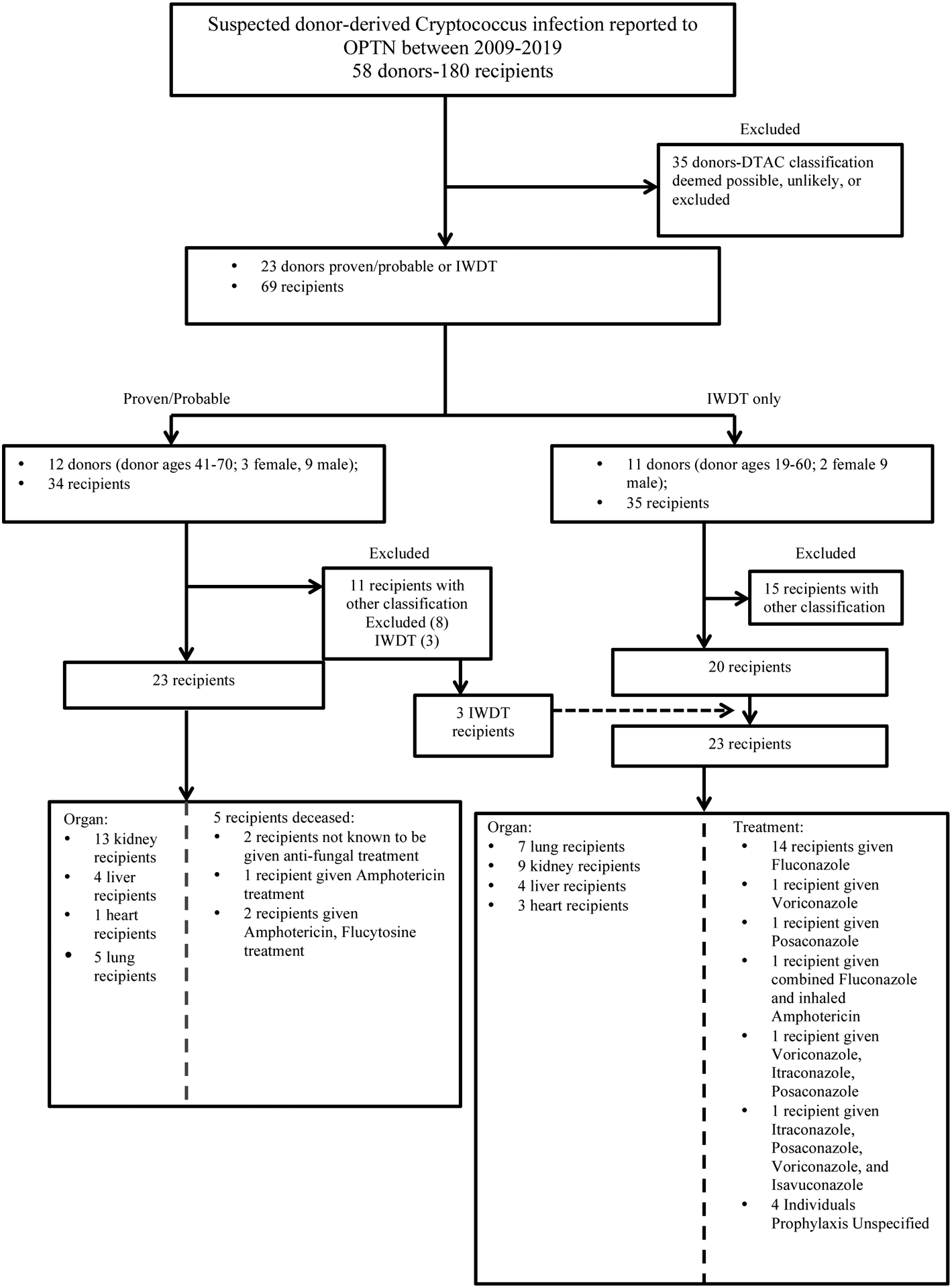
    Cryptococcus species can cause serious life-threatening infection in solid organ transplant recipients by reactivation of prior infection, posttransplant de novo infection, or donor transmission from the transplanted organ. Although previously reported in the literature, the extent of donor-derived cryptococcosis in the United States has not been documented. We analyzed potential donor-derived Cryptococcus transmission events reported to the Organ Procurement and Transplantation Network (OPTN) for investigation by the Ad Hoc Disease Transmission Advisory Committee (DTAC). All reports between 2009 and 2019 in which transmission to recipients was designated proven or probable, or determined to be averted due to implementation of prophylaxis (intervention without disease transmission-"IWDT") were included. During 2009-2019, 58 reports of potential donor-derived cryptococcosis were submitted to DTAC. Among these reports, 12 donors were determined to have resulted in proven or probable transmission to 23/34 (67.6%) recipients. Most of these donors (10/12 [83%]) exhibited central nervous system-related symptoms prior to death and 5/23 (22%) infected recipients died. For 11 different donors, prophylaxis, most often with fluconazole, was administered to 23/35 (65.7%) recipients. Clinicians should maintain awareness of donor-derived cryptococcosis and consider prompt prophylaxis or treatment followed by reporting to OPTN for further investigation.
  • Subjects:
  • Source:
    Am J Transplant. 21(5):1911-1923
  • Pubmed ID:
    33290629
  • Pubmed Central ID:
    PMC8096655
  • Document Type:
  • Funding:
  • Place as Subject:
  • Volume:
    21
  • Issue:
    5
  • Collection(s):
  • Main Document Checksum:
    urn:sha256:9746cdb7e13a5758b6d1e36bb5868d2faa9cb327dd1c469edac1ba3f294c65bf
  • Download URL:
  • File Type:
    Filetype[PDF - 546.55 KB ]
File Language:
English
ON THIS PAGE

CDC STACKS serves as an archival repository of CDC-published products including scientific findings, journal articles, guidelines, recommendations, or other public health information authored or co-authored by CDC or funded partners.

As a repository, CDC STACKS retains documents in their original published format to ensure public access to scientific information.