U.S. flag An official website of the United States government.
Official websites use .gov

A .gov website belongs to an official government organization in the United States.

Secure .gov websites use HTTPS

A lock ( ) or https:// means you've safely connected to the .gov website. Share sensitive information only on official, secure websites.

i

The Impact of Industry and Body Part Injured on Repeat Workers’ Compensation Claims

Supporting Files
File Language:
English


Details

  • Alternative Title:
    Am J Ind Med
  • Personal Author:
  • Description:
    Background

    Few studies investigate the influence of body part injured and industry on future workers’ compensation claims.

    Methods

    Using claims incurred January 1, 2005 – July 31, 2015 (n=77,494) from the largest workers’ compensation insurer in Colorado, we assessed associations between worker characteristics, second claims involving any body part and the same body part. We utilized Cox proportional hazards models to approximate probability of a second claim.

    Results

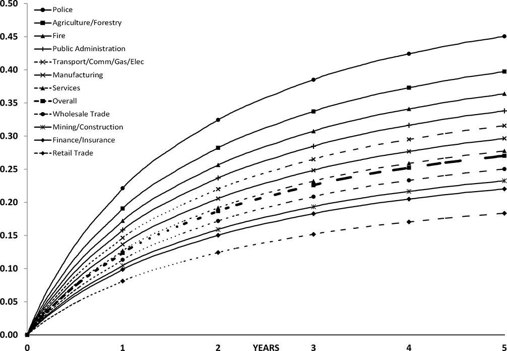
    First claims represented 74.9% (n=58,007) and second claims 25.2% (n=19,487) of total claims. Gender, age, industry, and body part of first claim were associated with probability of second claims and body part affected. The five-year probabilities of second claims and same body part second claims were 27.0% (95% CI: 26.6%–27.5%) and 6.2% (95% CI: 5.9%–6.5%) in males and 26.5% (95% CI: 26.0%–27.0%) and 6.7% (95% CI: 6.5%–7.0%) in females. Most second claims occurred within three years.

    Conclusions

    Most second claims occur within three years. Body part and industry-specific injury patterns suggest missed opportunities for prevention.

  • Subjects:
  • Source:
    Am J Ind Med. 62(8):680-690
  • Pubmed ID:
    31291037
  • Pubmed Central ID:
    PMC7441733
  • Document Type:
  • Funding:
  • Volume:
    62
  • Issue:
    8
  • Collection(s):
  • Main Document Checksum:
    urn:sha256:caa250ba0df7018a96f4693ccc36967519844165a07c87917dbfc5512e76fe09
  • Download URL:
  • File Type:
    Filetype[PDF - 2.91 MB ]
File Language:
English
ON THIS PAGE

CDC STACKS serves as an archival repository of CDC-published products including scientific findings, journal articles, guidelines, recommendations, or other public health information authored or co-authored by CDC or funded partners.

As a repository, CDC STACKS retains documents in their original published format to ensure public access to scientific information.