U.S. flag An official website of the United States government.
Official websites use .gov

A .gov website belongs to an official government organization in the United States.

Secure .gov websites use HTTPS

A lock ( ) or https:// means you've safely connected to the .gov website. Share sensitive information only on official, secure websites.

i

Pragmatic selection of larval mosquito diets for insectary rearing of Anopheles gambiae and Aedes aegypti

Supporting Files Public Domain
File Language:
English


Details

  • Alternative Title:
    PLoS One
  • Personal Author:
  • Description:
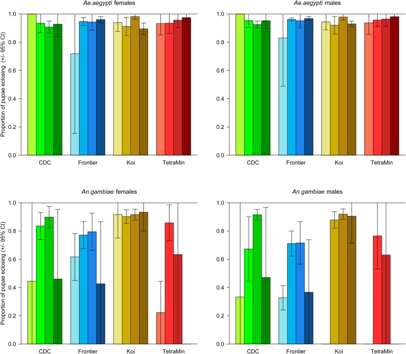
    Larval mosquitoes are aquatic omnivorous scavengers which scrape food from submerged surfaces and collect suspended food particles with their mouth brushes. The composition of diets that have been used in insectaries varies widely though necessarily provides sufficient nutrition to allow colonies to be maintained. Issues such as cost, availability and experience influence which diet is selected. One component of larval diets, essential fatty acids, appears to be necessary for normal flight though deficiencies may not be evident in laboratory cages and are likely more important when mosquitoes are reared for release into the field in e.g. mark-release-recapture and genetic control activities. In this study, four diets were compared for rearing Anopheles gambiae and Aedes aegypti, all of which provide these essential fatty acids. Two diets were custom formulations specifically designed for mosquitoes (Damiens) and two were commercially available fish foods: Doctors Foster and Smith Koi Staple Diet and TetraMin Plus Flakes. Development rate, survival, dry weight and adult longevity of mosquitoes reared with these four diets were measured. The method of presentation of one diet, Koi pellets, was additionally fed in two forms, pellets or a slurry, to determine any effect of food presentation on survival and development rate. While various criteria might be selected to choose 'the best' food, the readily-available Koi pellets resulted in development rates and adult longevity equal to the other diets, high survival to the adult stage and, additionally, this is available at low cost.
  • Subjects:
  • Source:
    PLoS One. 2020; 15(3)
  • Pubmed ID:
    32160192
  • Pubmed Central ID:
    PMC7065774
  • Document Type:
  • Volume:
    15
  • Issue:
    3
  • Collection(s):
  • Main Document Checksum:
    urn:sha256:67570b064032f4345a671ee1ac40adfdaf6c4643e19c8dae5ad1f9cae4cabaab
  • Download URL:
  • File Type:
    Filetype[PDF - 1.78 MB ]
File Language:
English
ON THIS PAGE

CDC STACKS serves as an archival repository of CDC-published products including scientific findings, journal articles, guidelines, recommendations, or other public health information authored or co-authored by CDC or funded partners.

As a repository, CDC STACKS retains documents in their original published format to ensure public access to scientific information.