U.S. flag An official website of the United States government.
Official websites use .gov

A .gov website belongs to an official government organization in the United States.

Secure .gov websites use HTTPS

A lock ( ) or https:// means you've safely connected to the .gov website. Share sensitive information only on official, secure websites.

i

Application of Physiologically-Based Pharmacokinetic Modeling to Explore the Role of Kidney Transporters in Renal Reabsorption of Perfluorooctanoic Acid in the Rat

Supporting Files


Details

  • Alternative Title:
    Toxicol Appl Pharmacol
  • Personal Author:
  • Description:
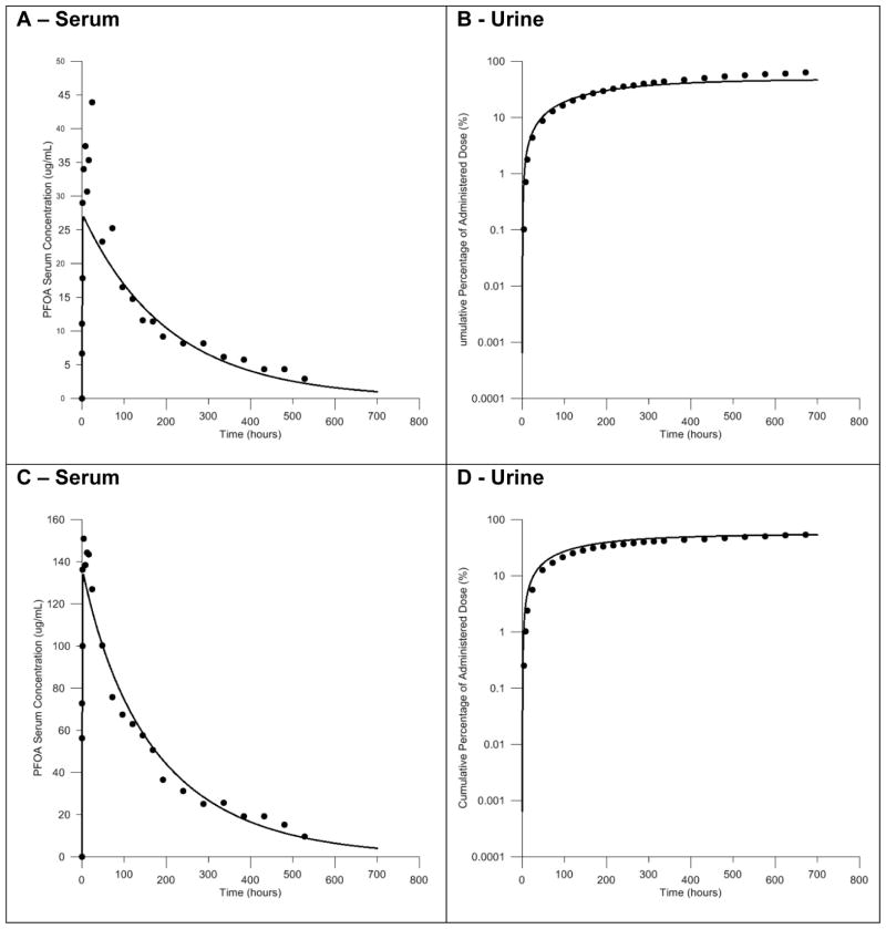
    Renal elimination and the resulting clearance of perfluorooctanoic acid (PFOA) from the serum exhibit pronounced sex differences in the adult rat. The literature suggests that this is largely due to hormonally regulated expression of organic anion transporters (OATs) on the apical and basolateral membranes of the proximal tubule cells that facilitate excretion and reabsorption of PFOA from the filtrate into the blood. Previously developed PBPK models of PFOA exposure in the rat have not been parameterized to specifically account for transporter-mediated renal elimination. We developed a PBPK model for PFOA in male and female rats to explore the role of Oat1, Oat3, and Oatp1a1 in sex-specific renal reabsorption and excretion of PFOA. Descriptions of the kinetic behavior of these transporters were extrapolated from in vitro studies and the model was used to simulate time-course serum, liver, and urine data for intravenous (IV) and oral exposures in both sexes. Model predicted concentrations of PFOA in the liver, serum, and urine showed good agreement with experimental data for both male and female rats indicating that in vitro derived physiological descriptions of transporter-mediated renal reabsorption can successfully predict sex-dependent excretion of PFOA in the rat. This study supports the hypothesis that sex-specific serum half-lives for PFOA are largely driven by expression of transporters in the kidney and contribute to the development of PBPK modeling as a tool for evaluating the role of transporters in renal clearance.
  • Subjects:
  • Source:
    Toxicol Appl Pharmacol. 289(3):428-441.
  • Pubmed ID:
    26522833
  • Pubmed Central ID:
    PMC4662604
  • Document Type:
  • Funding:
  • Volume:
    289
  • Issue:
    3
  • Collection(s):
  • Main Document Checksum:
    urn:sha256:bab34294f0b20c74324df764c176e3f26c31aea2587a70ef73cd969da0c7f212
  • Download URL:
  • File Type:
    Filetype[PDF - 1.39 MB ]
ON THIS PAGE

CDC STACKS serves as an archival repository of CDC-published products including scientific findings, journal articles, guidelines, recommendations, or other public health information authored or co-authored by CDC or funded partners.

As a repository, CDC STACKS retains documents in their original published format to ensure public access to scientific information.